


Примечание:
ArcGIS Insights устарел и перестанет поддерживаться с 2026 г. Подробнее о прекращении поддержки см. в разделе Устаревание ArcGIS Insights.
Для вычисления карты плотности определенной области инструмент Вычислить плотность использует входные точечные объекты. Функция Вычисление плотности использует вычисление Плотности ядра для создания поверхности плотности из точечных объектов.
Пример
Число птиц может использоваться для расчета плотности распространения видов. Плотности затем можно сравнить с данными почвенно-растительного покрова, чтобы определить, какие виды предпочитают какие области.
Запуск функции Вычислить плотность
Операцию Вычислить плотность можно запустить на картах с точечными слоями.
Выполните следующие шаги, чтобы вычислить плотность:
- Если необходимо, щелкните карточку карты, чтобы активировать ее.
Карточка активна, когда появляются панель инструментов и кнопка Действие
. - Щелкните кнопку Действие и выберите Вычислить площадь.
- Для параметра Выберите точечный слой выберите слой для расчета плотности.
- Разверните Дополнительные опции и, если необходимо, введите значения для параметров Вес, Радиус поиска (ширина полосы) и Размер ячейки.
Более подробно см. расположенные ниже раздел Советы по использованию.
- Щелкните Запустить.
Примечания по использованию
Параметр Выберите точечный слой используется для выбора набора данных при вычислении плотностей. В ниспадающем меню доступны только точечные объекты.
Разверните Дополнительные опции, чтобы получить доступ к параметрам Вес, Радиус поиска (ширина полосы) и Размер ячейки. В следующей таблице приведены эти три параметра, в том числе их значения по умолчанию:
| Параметр | Описание | Значение по умолчанию |
|---|---|---|
Вес | Поле, в котором хранятся значения каждого объекта. Например, если у вас есть набор данных розничных магазинов, который содержит поле со значениями выручки, вы можете использовать это поле в качестве веса, чтобы создать поверхность плотности на основе количества продаж, а не местоположений. | Все объекты будут иметь вес 1 (то есть, поверхность плотности будет основана исключительно на местоположении объектов). |
Радиус поиска (ширина полосы) | Расстояние (в милях, футах, километрах или метрах), используемое для поиска входных объектов в той же окрестности, что и фокальный объект. | Соответствующее расстояние поиска будет вычислено для входного набора данных с помощью формулы эмпирического правила Сильвермана. |
Размер ячейки | Размер выходных объектов, которые будут создавать поверхность плотности. | Соответствующий размер ячейки будет рассчитан для входного набора данных на основе экстента набора данных и количества объектов. |
Итоговый набор данных будет отображен по Числам и количествам (цвет) с использованием классификации методом равных интервалов с 10 классами по умолчанию.
Кнопка Перевернуть карточку
используется, чтобы посмотреть информацию с обратной стороны карточки, включая значения радиуса поиска, а также ширину полосы.
Ограничения
Входной набор данных должен быть точечным.
Кросс-фильтры несовместимы с итоговыми наборами данных, созданными при помощи этого инструмента. Чтобы добавить кросс-фильтр к неподдерживаемой карточке, скопируйте набор данных в свою рабочую книгу и примените кросс-фильтр к карточкам, созданным при копировании.
Этот инструмент не поддерживается для подключений только для чтения к Google BigQuery и платформ баз данных, которые не поддерживаются без настройки.
Как работает инструмент Вычислить плотность
Вычисление плотности использует для создания поверхности плотности вычисление Плотности ядра. В следующих разделах описываются вычисления плотности ядра, а также вычисления по умолчанию для Радиуса поиска (ширина полосы) и Размера ячейки.
Плотность ядер
Плотность ядра вычисляет плотность объектов в круговой окрестности вокруг каждой выходной ячейки, используя Гауссову функцию. Концептуально, для каждой точки подбирается (строится) сглаженная изогнутая поверхность. Значение поверхности максимально в местоположении точки и уменьшается с увеличением расстояния от точки, достигая нуля, когда расстояние от точки равно расстоянию поиска.

Числа в следующей таблице соответствуют числам на изображении выше:
| Число | Описание |
|---|---|
![]() | Одна из точек в наборе данных |
![]() | Расстояние, соответствующее радиусу поиска (ширина полосы) |
Каждая поверхность также включает объем. Объем поверхности равен параметру Вес для каждого объекта или 1, если значение не указано. Вес определяет, сколько раз считается точка в формуле плотности.
Плотность для каждой ячейки вычисляется путем сложения значений всех поверхностей ядра, накладывающихся на центр выходной ячейки. Функция ядра основана на функции квадратичного ядра (Quartic kernel), описанной в Silverman (1986, 76).

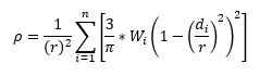
Для расчета плотности в точке (x,y) используется следующая формула:

, где:
- ρ = Плотность в местоположении (x,y).
- r = Радиус поиска (ширина полосы).
- i = 1, ..., n входных точек. Включаются только точки, попадающие в радиус поиска местоположения (x, y).
- Wi = вес точки i. Если поле веса не указано, то вес будет равен 1 для всех точек.
- di = Расстояние между точкой i и местоположением (x,y). Расстояние должно быть меньше радиуса поиска.
Радиус поиска (ширина полосы)
Радиус поиска по умолчанию применяет к данным алгоритм, который основан как на экстенте данных, так и на плотности точек. Параметр Радиус поиска (ширина полосы) будет пустым, потому что радиус по умолчанию не рассчитывается до тех пор, пока не начнется анализ. Если параметр Радиус поиска (ширина полосы) оставить пустым, то будет применен радиус по умолчанию.
Если вы предпочитаете указать другой радиус поиска, имейте ввиду, что чем больше будет радиус поиска, тем более обобщенным будет изображение. Меньший радиус поиска покажет больше локальных подробностей, но может не показать общую картину.
Размер ячейки
Если размер ячейки не указан, то он будет рассчитан на основе формул, описанных в Hengl (2006). Формулы зависят от набора данных и определяются на основе количества объектов и экстента или масштаба входного набора данных для оптимизации как производительности, так и выходного разрешения.
Вычисления расстояний
Вычисление плотности можно выполнить с использованием либо системы координат проекции (проецированные данные), либо географической системы координат (непроецированные данные). При использовании проецированных данных вычисляется Евклидово расстояние (расстояние по прямой линии, измеренное на плоской поверхности). При использовании непроецированных данных вычисляется геодезическое расстояние (линия, проведенная на сфере, представляющей кривизну Земли). Расчет геодезического расстояния основан на Формуле Хаверсина.
Справочная информация
Silverman, B. W. 1986. Density Estimation for Statistics and Data Analysis. Monographs on Statistics and Applied Probability. New York: Springer.
Hengl, Tomislav. 2006. "Finding the right pixel size." Computers & Geosciences, 32, no. 9 (November): 1283-1298. https://doi.org/10.1016/j.cageo.2005.11.008
Ресурсы
Для дополнительной информации см. следующие ссылки:

