Кригинг ― это улучшенный геостатистический метод, который позволяет строить прогнозируемую поверхность из набора точек с z-значениями. В отличие от других методов интерполяции в наборе инструментов Интерполяция, инструмент Кригинг предполагает интерактивное исследование пространственного поведения явления, представленного z-значениями, до выбора оптимального метода оценки для построения результирующей поверхности.
Что такое кригинг?
Инструменты интерполяции ОВР (обратно взвешенных расстояний) и Сплайн относятся к детерминированным методам интерполяции, поскольку они напрямую основаны на измеренных значениях, попадающих в окрестность интерполируемой точки, и на заданных математических формулах, которые определяют сглаженность результирующей поверхности. Вторая группа методов интерполяции состоит из геостатистических методов, таких как кригинг, которые основываются на статистических моделях, включающих анализ автокорреляции (статистических отношений между измеренными точками). В результате этого геостатистические методы не только имеют возможность создавать поверхность прогнозируемых значений, а также предоставляют некоторые измерения достоверности или точности прогнозируемых значений.
При кригинге предполагается, что расстояние или направление между опорными точками отражает пространственную корреляцию, которая может использоваться для объяснения изменения на поверхности. Инструмент Кригинг использует математическую функцию для определенного количества точек или всех точек в пределах заданного радиуса, чтобы определить выходное значение для всех направлений. Кригинг – пошаговый процесс; он включает поисковый статистический анализ данных, моделирование вариограммы, создание поверхности и (дополнительно) изучение поверхности дисперсии. Кригинг лучше всего подходит, если вы знаете, что есть пространственно коррелированное расстояние или направленное смещение в данных. Он обычно используется в почвоведении и геологии.
Формула кригинга
Кригинг аналогичен ОВР в том, что он взвешивает окружающие измеряемые значения, чтобы получить предсказание для неизмеренного местоположения. Основная формула для этих двух инструментов интерполяции формируется как взвешенная сумма данных:

- , где:
Z(si) = измеряемое значение в местоположении i
λi = неизвестный вес для измеряемого значения в местоположении i
s0 = местоположение прогноза
N = количество измеряемых значений
В ОВР вес, λi, зависит только от расстояния до местоположения прогноза. Однако при использовании метода кригинга, веса основаны не только на расстоянии между измеряемыми точками и местоположениями прогнозов, но также на общем пространственном расположении измеряемых точек. Чтобы использовать пространственное расположение в весах, нужно определить количество пространственной автокорреляции. Таким образом, в обычном кригинге вес, λi, зависит от установленной модели для измеряемых точек, от расстояния до местоположения прогноза и от пространственных отношений между измеряемыми значениями вокруг местоположения прогноза. В следующих разделах обсуждается, как используется формула общего кригинга для создания карты прогнозируемой поверхности и карты точности прогнозов.
Создание карты прогнозируемой поверхности с помощью кригинга
Чтобы сделать прогноз с помощью метода интерполяции Кригинг, необходимо две задачи:
- Раскрыть зависимость правил.
- Сделать прогнозы.
Чтобы реализовать эти две задачи, кригинг проходит через 2-шаговый процесс:
- Он создаёт вариограммы и функции ковариации для оценки значений статистической зависимости (пространственной автокорреляции), которые зависят от модели автокорреляции (соответствующей модели).
- Он прогнозирует неизвестные значения (выполняет прогноз).
Два отдельных шага необходимы, поскольку кригинг использует данные дважды: первый раз для оценки пространственной автокорреляции данных, а второй раз ― для вычисления прогнозов.
Вариография
Установка модели, или пространственное моделирование, также известно как структурный анализ, или вариография. В пространственном моделировании структуры измеряемых точек процесс начинается с графика эмпирической вариограммы, вычисленного с помощью следующего уравнения для всех пар местоположений, разделенных расстоянием h:
Вариограмма(расстояниеh) = 0.5 * среднее((значениеi – значениеj)2)Формула вовлекает вычисление разницы между квадратом значений парных местоположений.
На рисунке ниже показано создание пар одной точки (красная точка) со всеми другими измеряемыми местоположениями. Этот процесс продолжается для каждой измеряемой точки.

Часто каждая пара местоположений имеет уникальное расстояние, и часто существует много пар точек. Расположение всех пар быстро становится неуправляемым. Вместо размещения каждой пары, они группируются в бины. Например, вычислите среднюю вариограмму для всех пар точек, расположенных друг от друга дальше 40 метров, но меньше 50 метров. Эмпирическая вариограмма – это диаграмма средних значений вариограммы на оси y и расстояние (или лаг) на оси x (см. диаграмму ниже).

Пространственная автокорреляция позволяет количественно оценить основной принцип географии: ближние объекты имеют большую степень сходства, чем отдаленные. Таким образом, пары близко расположенных местоположений (крайние слева на оси x облака вариограммы) должны иметь более сходные значения (внизу на оси y облака вариограммы). По мере удаления друг от друга пары местоположений (перемещение вправо по оси x облака вариограммы) они должны стать более непохожими и получить большую разницу квадратов (перемещение вверх по оси y облака вариограммы).
Подбор модели для эмпирической вариограммы
Следующим шагом является установка модели на точки, формирующие эмпирическую вариограмму. Моделирование вариограммы – это ключевой шаг между пространственным описанием и пространственным прогнозом. Основное применение кригинга – прогноз атрибутивных значений в неопорных местоположениях. Эмпирическая вариограмма предоставляет информацию о пространственной автокорреляции наборов данных. Однако она не предоставляет информацию для всех возможных направлений и расстояний. По этой причине и чтобы убедиться, что прогнозы кригинга имеют положительные дисперсии кригинга, нужно установить модель – т.е. непрерывную функцию или кривую – на эмпирическую вариограмму. Абстрактно говоря, это аналогично анализу регрессии, в котором непрерывная линия или кривая устанавливается на точечные данные.
Чтобы установить модель на эмпирическую вариограмму, выберите функцию, которая служит моделью, например, сферического типа, который увеличивает и выравнивает большие расстояния за конкретным диапазоном (см. пример сферической модели ниже). На эмпирической вариограмме есть отклонения точек от модели; некоторые точки находятся выше кривой модели, некоторые – ниже. Однако при добавлении тех расстояний, на которых каждая точка находится выше и ниже линии, эти два значения должны быть одинаковыми. Есть большой выбор моделей вариограмм.
Модели вариограмм
Инструмент Кригинг предоставляет на выбор следующие функции для моделирования эмпирической вариограммы:
- Круговой
- Сферическая
- Экспоненциальная
- Гауссова
- Линейный
Выбранная модель влияет на интерполяцию неизвестных значений, особенно если форма кривой вблизи исходных данных значительно отличается. Чем круче кривая вблизи исходных данных, тем больше влияния на интерполяцию будет иметь ближайшая окрестность. В результате выходная поверхность будет менее сглаженной. Каждая модель разработана для более точного соответствия разных типов явления.
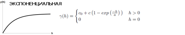
На диаграммах ниже показаны две общие модели и определяется, как различаются функции:
Пример сферической модели
На этой модели показано прогрессирующее снижение пространственной автокорреляции (то же, что увеличение вариограммы) до некоторого расстояния, за которым автокорреляция равна нулю. Сферическая модель – это одна из наиболее часто используемых моделей.

Пример экспоненциальной модели
Эта модель применяется, если пространственная автокорреляция уменьшается экспоненциально с увеличением расстояния. Здесь автокорреляция полностью исчезает только на расстоянии бесконечности. Экспоненциальная модель также часто используется. Выбор используемой модели основан на пространственной автокорреляции данных и на предварительном знании явления.

Более подробно математические модели описаны ниже.
Понятие вариограммы – Диапазон, порог и самородок
Как обсуждалось ранее, вариограмма изображает пространственную автокорреляцию измеряемых опорных точек. Вследствие основного принципа географии (ближние объекты более похожи), измеряемые точки, находящиеся ближе друг к другу, как правило, имеют меньшую разницу квадратов, чем точки, находящиеся дальше. Когда каждая пара местоположений была размещена после создания бинов, через них устанавливается модель. Для описания этих моделей обычно используются диапазон, порог и самородок.
Диапазон и порог
Когда вы смотрите на модель вариограммы, вы видите, что на определённом расстоянии модель выравнивается. Расстояние, где модель сначала выравнивается, называется диапазоном. Опорные местоположения, разделённые расстояниями, которые не не превышают диапазон, пространственно автокоррелированы, в то время как местоположения, превышающие диапазон, нет.

Значение, в котором модель вариограммы достигает диапазона (значение на оси y), называется порогом. Частичный порог – это порог минус самородок. Самородок описан в следующем разделе.
Самородок
Теоретически, на расстоянии нулевого разделения (например, лаг = 0) значение вариограммы равно 0. Однако на бесконечно маленьком расстоянии разделения, вариограмма часто изображает эффект самородка, что является значением больше 0. Если модель вариограммы пересекает ось y в значении 2, самородок будет равен 2.
Эффект самородка может включать такие атрибуты, как ошибки измерения или пространственные источники изменений на расстояниях, меньших интервалу пересчёта (или оба). Ошибка измерений возникают из-за ошибки измерительного прибора. Естественное явление может изменяться пространственно в диапазоне масштабов. Изменение в микромасштабах, меньших расстояний пересчёта, появится как часть эффекта самородка. До сбора данных важно получить понимание масштабов пространственного изменения, в котором вы заинтересованы.
Прогнозирование
После того как вы обнаружили зависимость или автокорреляцию в данных (см. раздел Вариография выше) и завершили первое использование данных ― с применением пространственной информации в данных для вычисления расстояний и моделирования пространственной автокорреляции, ― вы можете сделать прогноз, используя установленную модель. Таким образом, эмпирическая вариограмма приостанавливается.
Теперь вы можете использовать данные, чтобы сделать прогноз. Аналогично интерполяции ОВР, кригинг формирует веса из окружающих измеренных значений для прогнозирования неизмеренных местоположений. Как в случае с интерполяцией ОВР, измеренные значения, расположенные наиболее близко к неизмеренным местоположениям, имеют наибольшее влияние. Однако веса кригинга для окружающих измеренных точек более сложные, чем веса ОВР. ОВР использует простой алгоритм на основе расстояния, а веса кригинга происходят из вариограммы, которая была разработана, глядя на пространственной характер данных. Чтобы создать непрерывную поверхность явления, для каждого местоположения, или центров ячеек, делаются прогнозы в исследуемой области на основе вариограммы и пространственной организации измеряемых значений, расположенных рядом.
Методы кригинга
Доступны два метода кригинга: ординарный и универсальный.
Ординарный кригинг – наиболее общий и широко используемый из методов кригинга, он используется по умолчанию. Предполагается, что среднее значение константы не известно. Это предположение имеет смысл, пока нет научного основания отклонить его.
При универсальном кригинге предполагается, что есть доминирующий тренд в данных – например, преобладающий ветер – и его можно моделировать детерминистской функцией, полиномом. Этот полином извлекается из исходных измеренных точек, и автокорреляция моделируется из произвольных ошибок. После установки модели на произвольные ошибки и до прогнозирования, полином добавляется обратно к прогнозам, чтобы дать значимые результаты. Универсальный кригинг следует использовать, только если вы знаете, что в данных есть тренд, и можете дать научное обоснование для его описания.
Графики вариограмм
Кригинг – это комплексная методика, которая требует более обширных знаний о пространственной статистике, чем можно рассмотреть в этом разделе. Перед тем, как воспользоваться методами кригинга, вы должны получить исчерпывающее представление об основах кригинга и оценить пригодность ваших данных для моделирования с использованием этой методики. Если вы не обладаете достаточным пониманием процедуры кригинга, настоятельно рекомендуется изучить некоторые из работ, ссылки на которые помещены в конце этой статьи.
Кригинг основывается на теории региональной переменной, которая предполагает, что пространственная вариация явления, представленного z-значениями, статистически однородна по всей поверхности (то есть, вариация примерно одинакова во всех точках поверхности). Такая гипотеза о пространственной однородности является основой теории региональной переменной.
Математические модели
Ниже приведены общие формы и уравнения математических моделей, используемых для описания полудисперсии.





Список литературы
Burrough, P. A. Principles of Geographical Information Systems for Land Resources Assessment. New York: Oxford University Press. 1986.
Heine, G. W. "A Controlled Study of Some Two-Dimensional Interpolation Methods." COGS Computer Contributions 3 (no. 2): 60–72. 1986.
McBratney, A. B., and R. Webster. "Choosing Functions for Semi-variograms of Soil Properties and Fitting Them to Sampling Estimates." Journal of Soil Science 37: 617–639. 1986.
Oliver, M. A. "Kriging: A Method of Interpolation for Geographical Information Systems." International Journal of Geographic Information Systems 4: 313–332. 1990.
Press, W. H., S. A. Teukolsky, W. T. Vetterling, and B. P. Flannery. Numerical Recipes in C: The Art of Scientific Computing. New York: Cambridge University Press. 1988.
Royle, A. G., F. L. Clausen, and P. Frederiksen. "Practical Universal Kriging and Automatic Contouring." Geoprocessing 1: 377–394. 1981.