


Anotação:
ArcGIS Insights está obsoleto e será descontinuado em 2026. Para obter informações sobre a descontinuidade, consulte Descontinuidade do ArcGIS Insights .
A ferramenta Calcular Densidade utiliza feições de ponto de entrada para calcular um mapa de densidade dentro de uma área de interesse. Calcular Densidade utiliza um cálculo de Densidade de Kernel para criar uma superfície de densidade a partir das feições de pontos.
Exemplo
A contagem de pássaros pode ser utilizada para calcular densidades de espécies. As densidades podem então ser comparadas aos dados de cobertura da superfície para determinar os habitats de preferência de cada espécie.
Executar Ferramenta Calcular Densidade
A ferramenta Calcular Densidade pode ser executada em mapas com camadas de ponto.
Complete as seguintes etapas para calcular densidade:
- Clique no cartão de mapa para ativá-lo, se necessário.
Um cartão é ativo quando a barra de ferramentas e o botão Ação
aparecem. - Clique no botão Ação , então escolha Calcular Densidade.
- Para Escolha uma camada de ponto, selecione a camada para calcular a densidade.
- Expanda Opções adicionais e forneça os valores dos parâmetros Peso, Raio de pesquisa (largura de banda) e Tamanho da célula, se necessário.
Consulte a seção Notas de uso abaixo para obter mais informações.
- Clique em Executar.
Anotações de uso
Use o parâmetro Escolha uma camada de ponto para selecionar um conjunto de dados para calcular densidades. Somente feições de ponto estão disponíveis no menu suspenso.
Expanda Opções adicionais para acessar os parâmetros Peso, Raio de pesquisa (largura de banda) e Tamanho da célula. A seguinte tabela resume estes parâmetros, incluindo seus valores padrão:
| Parâmetro | Descrição | Valor padrão |
|---|---|---|
Peso | Um campo que indica o valor de cada feição. Por exemplo, se você tiver um conjunto de dados para locais de varejo que inclua um campo para receita, poderá usar o campo receita como peso para criar uma superfície de densidade com base no valor das vendas e não nos locais. | Todas as feições são ponderadas como 1 (ou seja, a superfície de densidade é baseada somente na localização das feições). |
Raio de pesquisa (largura de banda) | Uma distância (em milhas, pés, quilômetro ou metros) que é utilizada para localizar feições de entrada dentro do mesmo bairro como a feição focal. | Uma distância de pesquisa apropriada é calculada para o conjunto de dados de entrada usando a fórmula prática do Silverman. |
Tamanho da célula | O tamanho das feições de saída que cria a superfície de densidade. | Um tamanho de célula apropriado é calculado para o conjunto de dados de entrada com base na extensão do conjunto de dados e no número de feições. |
O conjunto de dados resultante é estilizado por Contagens e Quantidades (Cor) utilizando um padrão de classificação de intervalo idêntico com 10 classes.
Use o botão Inverter cartão
para visualizar informações no verso do cartão, incluindo os valores do raio de pesquisa e largura de banda.
Limitações
O conjunto de dados de entrada deve ser feições de ponto.
Filtros cruzados não são compatíveis com conjuntos de dados de resultados criados por esta ferramenta. Para adicionar um filtro cruzado a um cartão não compatível, copie o conjunto de dados para sua pasta de trabalho e aplique um filtro cruzado aos cartões criados com a cópia.
Esta ferramenta não é suportada em conexões de somente leitura do Google BigQuery e plataformas de banco de dados que não são suportadas prontamente.
Como funciona Calcular Densidade
Calcular Densidade utiliza um cálculo de Densidade de Kernel para criar uma superfície de densidade. As seções a seguir explicam o cálculo da densidade do Kernel, bem como os cálculos padrão paraRaio de pesquisa (largura de banda) e Tamanho de célula.
Densidade de Kernel
A densidade do kernel calcula a densidade das feições dentro de uma vizinhança circular ao redor de cada célula de saída usando uma função gaussiana. Conceitualmente, uma superfície curva suave é ajustada sobre cada ponto. O valor da superfície é mais alto no local do ponto e diminui com o aumento da distância do ponto, chegando a zero quando a distância do ponto é igual à distância de busca

Os números na tabela a seguir correspondem aos números da imagem acima:
| Número | Descrição |
|---|---|
![]() | Um dos pontos no conjunto de dados |
![]() | Uma distância igual ao raio de pesquisa (largura de banda) |
Cada superfície também inclui volume. O volume da superfície é igual ao parâmetro Peso para cada feição, ou 1 se nenhum valor for especificado. O peso determina quantas vezes um ponto é contado na fórmula de densidade.
A densidade de cada célula é calculada adicionando os valores de todas as superfícies do núcleo onde elas se sobrepõem ao centro da célula de saída. A função kernel é baseada na função Kernel Quártico descrita em Silverman (1986, 76).

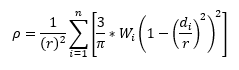
A fórmula a seguir é usada para calcular a densidade no local (x, y):

Onde:
- ρ = A densidade no local (x,y).
- r = O raio da pesquisa (largura de banda).
- i = 1, ..., n pontos de entrada. Somente pontos dentro do raio de pesquisa do local (x, y) estão incluídos.
- Wi = O peso do ponto i. Se um campo de peso não for especificado, o peso será 1 para todos os pontos.
- di = A distância entre o pontoi e o local (x,y). A distância deve ser menor que o raio de pesquisa.
Raio de pesquisa (largura de banda)
O raio de pesquisa padrão aplica um algoritmo aos dados baseado em ambas a extensão dos dados e na densidade de pontos. O paramêtro Raio de pesquisa (largura de banda) aparece em branco, pois o raio padrão não é calculado até a análise iniciar. Quando você deixa o parâmetro Raio de pesquisa (largura de banda) em branco, o raio de pesquisa padrão é aplicado.
Se você preferir especificar um raio de pesquisa diferente, considere que quanto maior o raio de pesquisa, mais generalizado o padrão. Um raio de pesquisa menor mostra mais variação de local, mas pode perder a imagem mais ampla.
Tamanho da célula
Se nenhum tamanho de célula for fornecido, o tamanho da célula será calculado com base nas fórmulas descritas em Hengl (2006). As fórmulas dependem do conjunto de dados e são determinadas com base no número de feições e na extensão ou escala do conjunto de dados de entrada para otimizar o desempenho e a resolução da saída.
Cálculos de distância
Você pode executar Calcular Densidade usando um sistema de coordenadas planas (dados projetados) ou um sistema de coordenadas geográficas (dados não projetados). Quando dados projetados são usados, uma distância euclidiana (uma distância em linha reta medida em uma superfície plana) é calculada. Quando dados não projetados são usados, uma distância geodésica (uma linha desenhada em uma esfera que representa a curvatura da Terra) é calculada. O cálculo da distância geodésica é baseado na fórmula de Haversine.
Referências
Silverman, B. W. 1986. Estimativa de Densidade para Estatística e Análise de Dados. Monografias em Estatística e Probabilidade Aplicada. Nova Iorque: Primavera.
Hengl, Tomislav. 2006. "Localizando o tamanho de pixel certo." Computadores & Geociências, 32, no. 9 (Novembro): 1283-1298. https://doi.org/10.1016/j.cageo.2005.11.008
Recursos
Utilize os seguintes recursos para saber mais:

