マップにフィーチャを描画することでおおよその向きを把握することもできますが、標準偏差楕円を使用すると、トレンドが明確に示されます。標準偏差楕円は、フィーチャのロケーション、またはフィーチャに関連付けられている属性の影響を受けるロケーションのどちらかを使用して算出できます。後者は、「加重標準偏差楕円」と呼ばれます。
計算
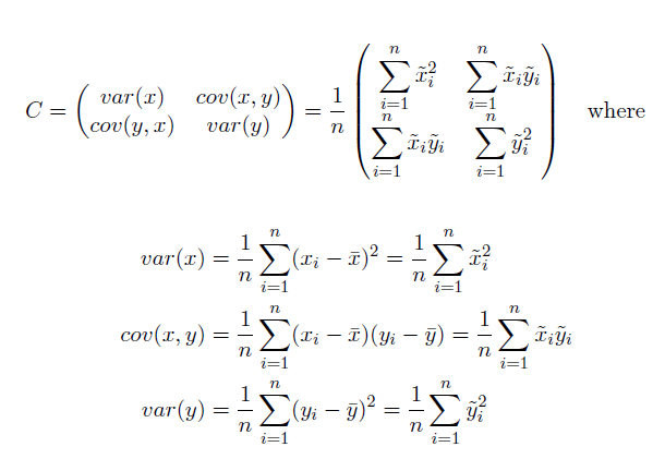
標準偏差楕円は、次のように求められます。
![[分布指向性分析 (Directional Distribution (Standard Deviational Ellipse))] ツールの算術演算 [分布指向性分析 (Directional Distribution (Standard Deviational Ellipse))] ツールの算術演算](GUID-B8FB80BF-7577-4694-9E43-FA0AB67127A8-web.png)
x と y がフィーチャ i の座標の場合、{x̄, ȳ} はフィーチャの平均中心を表し、n はフィーチャの合計数と等しくなります。
サンプルの共分散行列を正規化すると、固有値と固有ベクトルで表現される行列になります。X 軸と Y 軸の標準偏差は、次のようになります。
![[分布指向性分析 (Directional Distribution (Standard Deviational Ellipse))] ツールの算術演算 [分布指向性分析 (Directional Distribution (Standard Deviational Ellipse))] ツールの算術演算](GUID-28F47B03-2C78-4C50-B082-52BC24D82A84-web.png)
固有値と固有ベクトルの詳細については「その他のリソース」をご参照ください。
出力と解釈
2 次元データの場合、[分布指向性分析 (Directional Distribution (Standard Deviational Ellipse))] ツールは、すべてのフィーチャ ([ケース フィールド] の値が指定されている場合はすべてのケース) の平均中心を中心とする楕円ポリゴンが含まれる新しいフィーチャクラスを作成します。これらの出力楕円ポリゴンの属性値には、2 つの標準距離 (長軸と短軸)、楕円の向き、およびケース フィールド (指定されている場合) が含まれます。楕円の向きは、時計回りに正午の位置から計測される長軸の回転を表します。また、表示する標準偏差の数 (1、2、または 3) を指定することもできます。
![[分布指向性分析 (Directional Distribution)] ツールの図 [分布指向性分析 (Directional Distribution)] ツールの図](GUID-593B7842-8901-4616-AD60-0ADF9EC43835-web.gif)
適用例
- 一連の犯罪の分布トレンドをマッピングすることにより、特定の物理フィーチャ (飲食店街や特定の大通りなど) とのリレーションシップを把握することができます。
- 特定の汚染物質の地下水井戸サンプルをマッピングすることにより、毒素がどのように拡散しているかを把握し、これに基づいて抑止作戦を展開することができます。
- さまざまな人種または民族グループの楕円のサイズ、形状、および重なりを比較することにより、人種的または民族的な分離を把握することができます。
- 感染症の発生を示す楕円を時系列的にプロットすることで、その拡散をモデリングすることができます。
- 特定のカテゴリの暴風について高度の分布を調べることは、大気の状態と航空機事故の関係を調査する際に役立つ検討要素です。
参考資料
Chew, Victor 『Confidence, prediction, and tolerance regions for the multivariate normal distribution』 Journal of the American Statistical Association 61.315 (1966): 605-617.
Fisher, N. I., T. Lewis, and B. J. J. Embleton 『Statistical Analysis of Spherical Data. 1st ed』 Cambridge University Press. 1987. Cambridge Books Online. Web. 26 April 2016.
Levine, Ned 『CrimeStat III: a spatial statistics program for the analysis of crime incident locations (version 3.0)』 Houston (TX): Ned Levine & Associates/Washington, DC: National Institute of Justice (2004).
Mitchell, Andy 『The ESRI Guide to GIS Analysis, Volume 2』ESRI Press, 2005
Wang, Bin, Wenzhong Shi, and Zelang Miao. (2015)『Confidence Analysis of Standard Deviational Ellipse and Its Extension into Higher Dimensional Euclidean Space』 PLoS ONE 10(3), e0118537.