| ラベル | 説明 | データ タイプ |
入力テーブル | 変換されるフィールドを含む入力テーブルまたはフィーチャクラス。 新しい変換後のフィールドが入力テーブルに追加されます。 | Table View; Raster Layer; Mosaic Layer |
変換対象フィールド | 変換される値を含むフィールド。 フィールドごとに、出力フィールド名を指定できます。 出力フィールド名を指定しないと、このツールによって、フィールド名と変換方法から出力フィールド名が生成されます。 | Value Table |
変換方法 (オプション) | 指定したフィールドに含まれている値の変換に使用する方法を指定します。
| String |
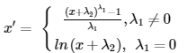
累乗 (オプション) | Box-Cox 変換および逆 Box-Cox 変換の累乗パラメーター (λ1)。 Box-Cox 変換の場合、値を指定しないと、最尤推定 (MLE) を使用して最適な値が求められます。 逆 Box-Cox 変換の場合、値を指定する必要があります。 | Double |
シフト (オプション) | データのシフトに使用する値 (定数値が追加される)。 0 を指定すると、シフトが適用されません。 対数変換、Box-Cox 変換、および平方根変換では、負の値または値ゼロの場合に、変換の前にデフォルトのシフト値が加算されます。 指数変換 (対数の逆)、逆 Box-Cox 変換、および二乗変換 (平方根の逆) では、デフォルトでシフトが適用されません。 シフト値を指定した場合は、変換が適用された後で、その値の分だけ減算されます。 これにより、変換とその逆の変換で同じシフトを使用することができます。 | Double |
派生した出力
| ラベル | 説明 | データ タイプ |
| 更新された入力テーブル | 変換後のフィールドを含む更新済みのテーブル。 | Table View |


