| ラベル | 説明 | データ タイプ |
入力テーブル | 値が標準化されるフィールドを含むテーブル。 | Table View; Raster Layer; Mosaic Layer |
標準化対象フィールド | 標準化される値を含むフィールド。 フィールドごとに、出力フィールド名を指定できます。 出力フィールド名を指定しないと、このツールによって、フィールド名と選択した方法から出力フィールド名が生成されます。 | Value Table |
標準化方法 (オプション) | 指定したフィールドに含まれている値の標準化に使用する方法を指定します。
| String |
最小値 (オプション) | 生成された出力値のスケールで最小値を指定するために [標準化方法] パラメーターの [最小値-最大値] 方法で使用される値。 | Double |
最大値 (オプション) | 生成された出力値のスケールで最大値を指定するために [標準化方法] パラメーターの [最小値-最大値] 方法で使用される値。 | Double |
派生した出力
| ラベル | 説明 | データ タイプ |
| 更新された入力テーブル | 新しいエンコード済みフィールドを含むテーブル。 | Table View |

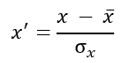
。ここで、x' は標準化後の値、x は元の値、x は平均値、σx は標準偏差です。
。ここで、x' は標準化後の値、x は元の値、min(x) はデータの最小値、max(x) はデータの最大値、a はユーザーが指定した最小値、b はユーザーが指定した最大値です。
。ここで、x' は標準化後の値、x は元の値、max(|x|) はデータの絶対最大値です。
。ここで、x' は標準化後の値、x は元の値、median(x) はデータの中央値、IQR(x) はデータの四分位範囲です。