


Remarque :
ArcGIS Insights est obsolète et sera retiré en 2026. Pour plus d’informations sur l’obsolescence, reportez-vous à la rubrique Obsolescence d’ArcGIS Insights.
L’outil Calculer la densité utilise des entités ponctuelles en entrée pour calculer une carte de densité dans une zone d’intérêt. L’outil Calculer la densité se base sur le calcul de la densité de noyau pour générer une surface de densité à partir des entités ponctuelles.
Exemple
Le comptage des oiseaux peut servir à calculer la densité des espèces. Les différentes densités peuvent ensuite être comparées aux données d’occupation du sol pour déterminer les habitats privilégiés par chaque espèce.
Exécuter l’outil Calculer la densité
L’outil Calculer la densité peut être exécuté sur les cartes avec couches de points.
Procédez comme suit pour calculer la densité :
- Le cas échéant, cliquez sur la fiche de carte pour l’activer.
Une fiche est active lorsque la barre d'outils et le bouton Action
apparaissent. - Cliquez sur le bouton Action, puis sélectionnez Calculate Density (Calculer la densité).
- Pour Choose a point layer (Choisir une couche ponctuelle), sélectionnez la couche à utiliser pour calculer la densité.
- Développez la section Additional options (Autres options) et fournissez des valeurs pour les paramètres Weight (Pondération), Search radius (bandwidth) (Rayon de recherche [bande passante]) et Cell size (Taille de cellule), si besoin est.
Pour en savoir plus, reportez-vous aux notes d’utilisation.
- Cliquez sur Run (Exécuter).
Remarques sur l’utilisation
Utilisez le paramètre Choose a point layer (Choisir une couche ponctuelle) pour sélectionner un jeu de données et calculer les densités. Seules les entités ponctuelles sont disponibles dans le menu déroulant.
Développez Additional options (Autres options) pour accéder aux paramètres Weight (Pondération), Search radius (bandwidth) (Rayon de recherche (bande passante)) et Cell size (Taille de cellule). Le tableau suivant présente ces paramètres et leurs valeurs par défaut :
| Paramètre | Description | Valeur par défaut |
|---|---|---|
Pondération | Champ indiquant la valeur de chaque entité. Par exemple, si vous avez un jeu de données pour les emplacements de points de vente qui comprend un champ pour les revenus, vous pouvez utiliser le champ de revenus comme pondération pour créer une surface de densité basée sur le montant de ventes, plutôt que sur les emplacements. | Une pondération de 1 est appliquée à toutes les entités (autrement dit, la surface de densité est basée uniquement sur l’emplacement des entités). |
Rayon de recherche (bande passante) | Distance (en miles, pieds, kilomètres ou mètres) utilisée pour rechercher des entités en entrée au sein du même voisinage que l'entité focale. | Une distance de recherche appropriée est calculée pour le jeu de données en entrée au moyen de la formule de Silverman. |
Taille de cellule | Taille des entités en sortie utilisée pour générer la surface de densité. | Une taille de cellule appropriée est calculée pour le jeu de données en entrée en fonction de l’étendue du jeu de données et du nombre d’entités. |
Le jeu de données de résultats est stylisé avec les types de symbole Counts and amounts (Color) (Totaux et montants [couleur]), avec une classification par intervalles égaux par défaut comportant 10 classes.
Utilisez le bouton Flip card (Retourner la fiche)
pour consulter les informations au dos de la fiche, notamment les valeurs du rayon de recherche et de la bande passante.
Limitations
Le jeu de données en entrée doit être constitué d’entités ponctuelles.
Les filtres croisés ne sont pas compatibles avec les jeux de données de résultats créés par cet outil. Pour ajouter un filtre croisé à une fiche non prise en charge, copiez le jeu de données dans votre classeur et appliquez un filtre croisé aux fiches créées avec la copie.
Cet outil n’est pas pris en charge pour les connexions en lecture seule à Google BigQuery et aux plateformes de base de données qui ne sont pas prises en charge immédiatement.
Fonctionnement de l’outil Calculer la densité
L’outil Calculer la densité se base sur le calcul de la densité de noyau pour générer une surface de densité. Les sections suivantes décrivent le calcul de la densité de noyau, ainsi que les calculs par défaut pour les paramètres Search radius (bandwidth) (Rayon de recherche (bande passante)) et Cell size (Taille de cellule).
Densité du noyau
L’outil Densité de noyau calcule la densité d’entités ponctuelles dans un voisinage circulaire autour de chaque cellule en sortie, à l’aide de la fonction Gaussienne. En théorie, une surface uniformément incurvée passe par chaque point. La valeur de la surface est maximale à l’emplacement du point et diminue à mesure que l’on s’en éloigne, pour atteindre zéro lorsque la distance d’éloignement du point équivaut à la distance de recherche.

Les nombres dans la table suivante correspondent aux nombres dans l’image ci-dessous :
| Nombre | Description |
|---|---|
![]() | Un des points dans le jeu de données |
![]() | Une distance égale au rayon de recherche (bande passante) |
Chaque surface inclut également le volume. Le volume pour la surface équivaut à la valeur du paramètre Weight (Pondération) pour chaque entité, ou à 1 si aucune valeur n’est spécifiée. La pondération détermine le nombre de comptabilisations du point dans la formule de densité.
La densité de chaque cellule est calculée par l’addition des valeurs de toutes les surfaces de noyau où elles se superposent au centre de la cellule en sortie. La fonction de noyau est basée sur la fonction de noyau quantique décrite par Silverman (1986, 76).

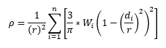
La densité à l’emplacement (x, y) est déterminée par la formule suivante :

où :
- ρ = Densité à l’emplacement (x,y).
- r = Rayon de recherche (bande passante).
- i = 1, ..., n points en entrée. Seuls les points situés dans le rayon de recherche de l’emplacement (x,y) sont pris en compte.
- Wi = Pondération du point i. Si aucune valeur de pondération n’est spécifiée, la pondération équivaut à 1 pour l’ensemble des points.
- di = Distance entre le point i et l’emplacement (x,y). La distance doit être inférieure au rayon de recherche.
Rayon de recherche (bande passante)
Le rayon de recherche par défaut applique un algorithme aux données, basé à la fois sur l’étendue des données et sur la densité des points. Le paramètre Search radius (bandwidth) (Rayon de recherche [bande passante]) apparaît vide étant donné que le rayon par défaut est calculé uniquement lorsque l’analyse commence. Si vous laissez le paramètre Search radius (bandwidth) (Rayon de recherche [bande passante]) vide, le rayon par défaut est appliqué.
Si vous préférez un rayon de recherche différent, n’oubliez pas que plus le rayon de recherche est étendu, plus le modèle est généralisé. Un rayon de recherche plus petit montre les variations locales mais peut manquer la vision plus globale.
Taille de cellule
Si aucune taille de cellule n’est fournie, celle-ci est calculée en fonction des formules décrites par Hengl (2006). Les formules, dépendantes du jeu de données, sont déterminées en fonction du nombre d’entités et de l’étendue ou de l’échelle du jeu de données en entrée, de façon à optimiser les performances et la résolution en sortie.
Calcul des distances
Vous pouvez exécuter l’outil Calculer la densité avec un système de coordonnées projetées (données projetées) ou un système de coordonnées géographiques (données non projetées). En cas d’utilisation de données projetées, une distance euclidienne (distance en ligne droite mesurée sur une surface plane) est calculée. En cas d’utilisation de données non projetées, une distance géodésique (ligne tracée sur une sphère représentant la courbure de la Terre) est calculée. Le calcul de la distance géodésique est basé sur la formule de Haversine.
Bibliographie
Silverman, B. W. 1986. Density Estimation for Statistics and Data Analysis. Monographs on Statistics and Applied Probability. New York : Springer.
Hengl, Tomislav. 2006. « Trouver la taille de pixel correcte. » Computers & Geosciences, 32, n° 9 (novembre) : 1283-1298. https://doi.org/10.1016/j.cageo.2005.11.008
Ressources
Référez-vous aux ressources suivantes pour en savoir plus :
Vous avez un commentaire à formuler concernant cette rubrique ?

