Même si vous obtenir avoir un aperçu de l'orientation en dessinant les entités sur une carte, le calcul de l'ellipse d'écart type permet de mieux voir la tendance. Vous pouvez calculer l'ellipse d'écart type à l'aide de l'emplacement des entités ou de l'emplacement influencé par une valeur attributaire associée aux entités. La dernière possibilité est appelée ellipse d'écart type pondérée.
Calculs
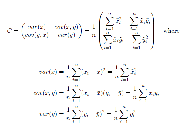
L'ellipse d'écart type est calculée ainsi :

Où x et y sont les coordonnées de l'entité i, {x̄, ȳ} représentent le centre moyen des entités et n est égal au nombre total d'entités.
La matrice de covariance d'exemple est prise en charge dans une forme standard qui permet de représenter la matrice par ses valeurs propres et vecteurs propres. L'écart type des axes x et y est alors :

Consultez les ressources supplémentaires pour en savoir plus sur les valeurs propres et les vecteurs propres.
Sortie et interprétation
Pour les données en deux dimensions, l'outil Directional Distribution (Standard Deviational Ellipse) crée une nouvelle classe d'entités contenant un polygone elliptique centré sur le centre moyen pour toutes les entités (ou pour tous les cas où une valeur est spécifiée pour Champ de récapitulation). Les valeurs attributaires de ces polygones d'ellipse en sortie comprennent deux distances standard (axe long et axe court), l'orientation de l'ellipse et le champ de récapitulation, le cas échéant. L'orientation représente la rotation de l'axe long, mesurée dans le sens horaire à partir de midi. Vous pouvez également spécifier le nombre d'écarts types à représenter (1, 2 ou 3).

Applications possibles
- Cartographier la tendance de distribution d'un ensemble de délits peut permettre d'identifier la relation à des entités physiques particulières (une chaîne de barres ou de restaurants, un boulevard en particulier, etc.).
- Cartographier des échantillons de puits souterrains à la recherche d'un polluant en particulier peut permettre d'indiquer la propagation de la toxine et par conséquent, peut être utile pour mettre en place des solutions.
- La comparaison de la taille, de la forme et de la superposition des ellipses pour différents groupes raciaux et ethniques peut offrir un aperçu de la ségrégation raciale ou ethnique.
- Le tracé d'ellipses concernant une épidémie au fil du temps peut être utile pour modéliser son évolution.
- L'examen de la distribution des altitudes pour les tempêtes d'une catégorie donnée peut constituer un facteur utile à prendre en compte pour en savoir plus sur la relation entre les conditions atmosphériques et les accidents d'avion.
Ressources supplémentaires
Chew, Victor. "Confidence, prediction, and tolerance regions for the multivariate normal distribution." Journal of the American Statistical Association 61.315 (1966): 605-617.
Fisher, N. I., T. Lewis, and B. J. J. Embleton. Statistical Analysis of Spherical Data. 1st ed. Cambridge: Cambridge University Press, 1987. Cambridge Books Online. Web. 26 April 2016.
Levine, Ned. "CrimeStat III: a spatial statistics program for the analysis of crime incident locations (version 3.0)." Houston (TX): Ned Levine & Associates/Washington, DC: National Institute of Justice (2004).
Mitchell, Andy. The ESRI Guide to GIS Analysis, Volume 2. ESRI Press, 2005.
Wang, Bin, Wenzhong Shi, and Zelang Miao. (2015) Confidence Analysis of Standard Deviational Ellipse and Its Extension into Higher Dimensional Euclidean Space. PLoS ONE 10(3), e0118537.
Vous avez un commentaire à formuler concernant cette rubrique ?