| Etiqueta | Explicación | Tipo de datos |
Tabla de entrada | La tabla o clase de entidad de entrada que contiene los campos que se van a transformar. Los campos recién transformados se agregan a la tabla de entrada. | Table View; Raster Layer; Mosaic Layer |
Campo a transformar | Los campos que contienen los valores que se van a transformar. Para cada campo, se puede especificar un nombre de campo de salida. Si no se proporciona ningún nombre de campo de salida, la herramienta crea un nombre de campo de salida utilizando el nombre del campo y el método de transformación. | Value Table |
Método de transformación (Opcional) | Especifica el método que se utilizará para transformar los valores contenidos en los campos especificados.
| String |
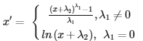
Potencia (Opcional) | Parámetro de potencia (λ1) de la transformación de Box-Cox y las transformaciones Box-Cox inversa. Si no se proporciona ningún valor en la transformación de Box-Cox, se determinará un valor óptimo utilizando la estimación de máxima probabilidad (MLE). Se debe proporcionar un valor para la transformación Box-Cox inversa. | Double |
Valor constante (Opcional) | Valor que se utilizará para desplazar los datos (se agrega un valor constante). No se aplica ningún valor de desplazamiento si se especifica 0. En las transformaciones logarítmica, de Box-Cox y de raíz cuadrada, se agregará un valor de desplazamiento predeterminado antes de la transformación si hay valores negativos o de cero. En las transformaciones exponencial (logarítmica inversa), de Box-Cox inversa y de cuadrado (raíz cuadrada inversa), no se aplica ningún desplazamiento de forma predeterminada. Si se proporciona un valor de desplazamiento, el valor se resta después de aplicar la transformación. De esta forma, puede usar el mismo valor de desplazamiento para las transformaciones y sus inversas asociadas. | Double |
Salida derivada
| Etiqueta | Explicación | Tipo de datos |
| Tabla de entrada actualizada | La tabla actualizada que contiene los campos transformados. | Table View |


