| Etiqueta | Explicación | Tipo de datos |
Tabla de entrada | Tabla que contiene el campo con los valores que se estandarizarán. | Table View; Raster Layer; Mosaic Layer |
Campo a estandarizar | Campos que contienen los valores que se estandarizarán. Para cada campo, se puede especificar un nombre de campo de salida. Si no se proporciona ningún nombre de campo de salida, la herramienta creará un nombre de campo de salida utilizando el nombre del campo y el método seleccionado. | Value Table |
Método de estandarización (Opcional) | Especifica el método que se utilizará para estandarizar los valores contenidos en los campos especificados.
| String |
Valor mínimo (Opcional) | Valor que utilizará el método Mínimo-máximo del parámetro Método de estandarización para especificar el valor mínimo en la escala de los valores de salida proporcionados. | Double |
Valor Máximo (Opcional) | Valor que utilizará el método Mínimo-máximo del parámetro Método de estandarización para especificar el valor máximo en la escala de los valores de salida proporcionados. | Double |
Salida derivada
| Etiqueta | Explicación | Tipo de datos |
| Tabla de entrada actualizada | La tabla que contiene los nuevos campos codificados. | Table View |

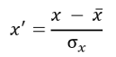
, donde x' es el valor estandarizado, x es el valor original, x̄ es el valor medio (promedio) y σx es la desviación estándar.
, donde x' es el valor estandarizado, x es el valor original, min(x) es el mínimo de los datos, max(x) es el máximo de los datos, a es el mínimo especificado por el usuario y b es el máximo especificado por el usuario.
, donde x' es el valor estandarizado, x es el valor original y max(|x|) es el máximo de los valores absolutos de los datos.
, donde x' es el valor estandarizado, x es el valor original, median(x) es la mediana de los datos e IQR(x) es el rango entre cuartiles de los datos.