La herramienta Densidad de kernel espaciotemporal amplía los cálculos de densidad kernel a partir del análisis de la posición relativa y la magnitud de las entidades de entrada para incluir otras dimensiones como el tiempo y la profundidad (elevación). El resultado identifica el área de magnitud por unidad utilizando las diversas funciones kernel para ajustar una superficie suavemente cónica a cada punto de entrada.
Comparación con otras herramientas de densidad
El análisis de densidad es fundamental para una serie de análisis espaciales y de estadísticas geográficas. Los ejemplos incluyen lo siguiente:
- Estudios demográficos
- Investigación sobre concentración, exposición y resiliencia
- Elaboración de políticas para ayudar a determinar la necesidad de cualquier servicio específico en cualquier ubicación o comunidad concreta, como instalaciones sanitarias, servicios de emergencia, infraestructuras y redes de carreteras.
Existen otras herramientas para calcular la densidad, como la Densidad kernel, la Densidad de puntos y la Densidad de líneas. Estas herramientas calculan la densidad de las entidades (puntos o líneas) en la vecindad de las entidades. Sin embargo, no tienen en cuenta otras dimensiones.
La herramienta Densidad de kernel espaciotemporal analiza la densidad de eventos o incidentes que se producen tanto en el espacio como en el tiempo, además de poder considerar la elevación. Al incorporar la elevación y el tiempo a la ecuación, la herramienta amplía la comprensión de las distribuciones espaciales y temporales y los patrones y tendencias del fenómeno considerado.
Principales ventajas de la densidad de kernel espaciotemporal
La herramienta Densidad de kernel espaciotemporal combina los conceptos de estimación de la densidad de kernel con el análisis temporal para proporcionar una comprensión exhaustiva de los patrones. Algunas de las ventajas que ofrece esta herramienta frente a otras formas de estimación de la densidad incluyen la posibilidad de:
- Analizar simultáneamente las dimensiones espacial y temporal de los eventos a diferentes niveles de elevación. Esto proporciona una comprensión más holística de los patrones y ayuda a identificar áreas con altas o bajas concentraciones de eventos a lo largo del tiempo, a través del espacio y la elevación.
- Tener en cuenta la orientación temporal para analizar cómo cambia la densidad de eventos a lo largo del tiempo. Resulta especialmente útil para estudiar fenómenos dinámicos, como patrones delictivos, brotes de enfermedades o flujos de transporte.
- Considerar conjuntamente la orientación temporal y la elevación, lo que permitirá analizar cómo cambia la densidad de eventos a lo largo del tiempo a diferentes niveles de elevación. Resulta especialmente útil para estudiar fenómenos dinámicos en geociencias, como la presión atmosférica, la densidad del ozono, los contaminantes, la composición del aire y del agua, la salinidad del agua, el nivel de oxígeno disuelto, la conductividad del agua, la presión del agua y la temperatura.
- Proporcionar flexibilidad en la selección de parámetros, incluida la elección del tipo de kernel, el radio de búsqueda (ancho de banda), la elevación y la unidad de tiempo. De esta forma, puede adaptar el análisis a las necesidades específicas y a las características de los datos, lo que se traduce en resultados más precisos y significativos.
- Aprovechar las funcionalidades existentes de ArcGIS AllSource para analizar y visualizar datos ráster multidimensionales y proporcionar varias opciones de visualización con el formato de ráster de nube (CRF) Esri para datos multidimensionales como ráster de salida predeterminado. Esto es especialmente beneficioso para aislar cualquier dimensión específica o para visualizar y ayudar en la identificación de puntos calientes, tendencias y patrones dentro de los datos a través del espacio y el tiempo, habilitando una mejor toma de decisiones y comprensión de las relaciones espacio-temporales.
Esta herramienta ofrece una comprensión más matizada de los patrones de los eventos. Puede aplicarse en diversos campos, como el análisis de la delincuencia, la cartografía de enfermedades, la planificación del transporte, la monitorización medioambiental y las ciencias oceanográficas y atmosféricas. Su capacidad para analizar tanto el espacio como el tiempo la convierte en una herramienta versátil para comprender fenómenos complejos. Sin embargo, sus ventajas específicas y su adecuación pueden variar en función de la naturaleza de los datos y de los objetivos del análisis.
Cómo se calcula la densidad de kernel espaciotemporal
La herramienta Densidad de kernel espaciotemporal utiliza entidades de punto con datos de elevación y tiempo para calcular la densidad de kernel de las entidades de punto alrededor de cada celda ráster de salida.
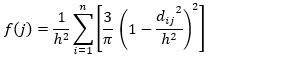
Conceptualmente, se ajusta una superficie curva uniforme sobre cada punto. La técnica es similar a cómo funciona la herramienta de densidad de kernel para la entrada de puntos. El valor de la superficie en la ubicación del punto es el más alto y sigue disminuyendo a medida que aumenta la distancia desde la ubicación del punto y alcanza cero en el valor del parámetro Radio de búsqueda a distancia del punto. Dado que el tipo de datos de entrada es un punto, solo es posible un vecindario circular. El volumen bajo la superficie es igual al valor del parámetro Campo de población del punto, o 1 si se especifica NONE. Para calcular la densidad de cada celda ráster de salida, se agregan los valores de todas las superficies de kernel en donde se superponen con el centro de la celda ráster. La función kernel se basa en la función kernel cuártica que se describió en Silverman (1986, p. 76, ecuación 4.5).
La fórmula es la siguiente:

Dónde:
- i = 1,…,n son los puntos de entrada.
- f(j) es la densidad en el centro de cada celda.
- dij es la distancia entre el punto incidente y el centro de la celda.
- h es el radio de búsqueda.
Si se utiliza una configuración del parámetro Campo de población que no sea NONE, el valor de cada elemento determina la cantidad de veces que se va a contar el punto. Por ejemplo, un valor de 3 hará que el punto se cuente como tres puntos. Los valores pueden ser de tipo entero o punto flotante.
De forma predeterminada, una unidad se selecciona según la unidad lineal de la definición de proyección de los datos de la entidad de punto de entrada o como se haya especificado en la configuración del entorno del Sistema de coordenadas de salida.
Si se selecciona un factor del parámetro Unidades de área de salida, la densidad que se calculó para la celda se multiplica por el factor apropiado antes de que se escriba en el ráster de salida. Por ejemplo, si las unidades de entrada son metros, las unidades de área de salida serán Kilómetros cuadrados de manera predeterminada. El resultado final de la comparación de un factor de escala de unidades de metros a kilómetros tendrá como resultado que los valores serán diferentes por un multiplicador de 1.000.000 (1.000 metros × 1.000 metros).
Predecir la densidad para una ubicación
La densidad prevista en una nueva ubicación (x,y) se determina con esta fórmula:

Dónde:
- i = 1,…,n son los puntos de entrada. Para disti < radio, solo debe incluir puntos en la suma si están dentro de la distancia de radio de la ubicación (x,y).
- popi es el valor de campo de población del punto i. Es un parámetro opcional.
- disti es la distancia entre el punto i y la ubicación (x,y).
- radius es el radio de búsqueda definido alrededor de la ubicación (x,y).
Posteriormente, la densidad calculada se multiplica por el número de puntos o la suma del campo de población si se proporcionó alguno. Esta corrección hace que el integral espacial sea igual que el número de puntos (o la suma o el campo de población) en lugar de que siempre sea igual que 1. Esta implementación usa una función kernel cuártica como la descrita en Silverman (1986). La fórmula se calculará para cada ubicación en la que desea estimar la densidad. Puesto que se está creando un ráster, los cálculos se aplican al centro de cada celda en el ráster de salida.
Tiempo y elevación
Para incluir la dimensión temporal en el cálculo de esta herramienta, debe establecer la hora de inicio, la hora final y el intervalo de tiempo.
El parámetro Hora de inicio especifica el comienzo del periodo de tiempo sobre el que desea calcular la densidad. Puede ser una fecha concreta (como, por ejemplo, 31/12/2023), o una hora (15:45:45), o una fecha y hora juntas (31/12/2023 15:45:45). La hora de inicio establece el límite inferior de la ventana temporal de búsqueda (t_window) para el cálculo.
El parámetro Hora de finalización especifica el final del periodo de tiempo para el cálculo de la densidad. Al igual que la hora de inicio, puede ser una fecha y hora concretas o una fecha y hora juntas. La hora de finalización establece el límite superior de la ventana temporal de búsqueda (t_window) para el cálculo.
El parámetro Intervalo de tiempo especifica la granularidad de los intervalos de tiempo utilizados en el análisis. Especifica la duración de cada intervalo de tiempo, como 1 hora, 1 día o 1 mes. El intervalo de tiempo divide el rango de tiempo entre las horas de inicio y finalización en segmentos más pequeños para calcular la densidad. La unidad de intervalo puede ser segundo, minuto, hora, día o semana.
En base a la hora de inicio, la hora de finalización y el intervalo de tiempo especificados, la herramienta calcula la densidad de eventos dentro de cada intervalo de tiempo y en todo el rango de tiempo especificado. Al dividir el rango de tiempo entre la hora de inicio y la hora de finalización en segmentos más pequeños basados en el intervalo de tiempo especificado, la herramienta calcula la densidad de eventos dentro de cada intervalo de tiempo. Esto permite un análisis más detallado de cómo varía la densidad de eventos a lo largo del tiempo. Por ejemplo, si el intervalo de tiempo se establece en 1 hora y el rango de tiempo es de 9:00 a 17:00, la herramienta calculará la densidad de eventos dentro de cada hora (9:00-10:00, 10:00-11:00, y así sucesivamente) para proporcionar información sobre los patrones temporales de ocurrencia de eventos.
Densidad de kernel a lo largo del tiempo sobre puntos (x,y)
Para calcular la densidad de kernel a lo largo del tiempo sobre puntos (x,y), se utiliza un kernel espacial, k(x,y), y un kernel temporal, k(t). El resultado es la siguiente fórmula para la densidad de kernel a lo largo del tiempo:

Dónde:
- Para disti < radius, solo debe incluir puntos en la suma si están dentro de la distancia de radio de la ubicación (x,y).
- Para ti < t_window, solo debe incluir el tiempo en el cálculo si está dentro de la ventana de tiempo definida con la hora de inicio y finalización.
- popi es el valor de campo de población del punto i. Es un parámetro opcional.
- disti es la distancia entre el punto i y la ubicación (x,y).
- radius es el radio de búsqueda definido alrededor de la ubicación (x,y).
- ti es el tiempo en cada intervalo calculado dentro de la ventana de tiempo (ventana_t).
- t_window es la ventana de tiempo definida con la hora de inicio y finalización.
Los parámetros de elevación se utilizan para analizar la densidad de eventos o fenómenos que se producen tanto en el espacio como en la elevación. La herramienta tiene en cuenta la ubicación espacial de los eventos, así como la elevación a la que se producen. Para calcular la dimensión de elevación en esta herramienta, debe especificar tres parámetros: la elevación mínima, la elevación máxima y el intervalo de elevación.
El parámetro Elevación mínima especifica el valor de elevación más bajo dentro del rango de elevaciones que desea considerar para el cálculo de la densidad. Establece el límite inferior del rango de elevación para el análisis.
El parámetro Elevación máxima especifica el valor de elevación más alto dentro del rango de elevaciones que desea considerar. Similar a la elevación mínima, establece el límite superior del rango de elevación para el análisis.
El parámetro Intervalo de elevación especifica la granularidad de los intervalos de elevación utilizados en el análisis. Especifica la longitud de cada intervalo de elevación, como 100 metros, 500 metros o 1 kilómetro. El intervalo de elevación divide el rango de elevación entre las dimensiones mínima y máxima en segmentos más pequeños para calcular la densidad.
Al especificar la elevación mínima, la elevación máxima y el intervalo de elevación, la herramienta calcula la densidad de eventos dentro de cada intervalo de elevación y en todo el rango de elevación especificado.
Densidad de kernel a través de otras elevaciones sobre (x,y)
Para calcular la densidad de kernel a través de la elevación sobre puntos (x,y), se utiliza un kernel espacial, k(x,y), y un kernel de elevación, k(z). El resultado es la siguiente fórmula para la densidad de kernel a lo largo del tiempo:

Dónde:
- Para disti < radius, solo debe incluir puntos en la suma si están dentro de la distancia de radio de la ubicación (x,y).
- Para zi < z_distance, solo debe incluir puntos de elevación en el cálculo si están dentro de la ventana de elevación definida con la elevación mínima y máxima.
- popi es el valor de campo de población del punto i. Es un parámetro opcional.
- disti es la distancia entre el punto i y la ubicación (x,y).
- radius es el radio de búsqueda definido alrededor de la ubicación (x,y).
- zi es la elevación en cada intervalo calculada dentro de la ventana de elevación.
- z_distance es la ventana de elevación definida con la elevación mínima y máxima.
Densidad de kernel a través de otras elevaciones y tiempos sobre (x,y)
Para calcular la densidad kernel a través de diferentes puntos de elevación y tiempo sobre (x,y), se utiliza la siguiente fórmula:

Dónde:
- Para disti < radius, solo debe incluir puntos en la suma si están dentro de la distancia de radio de la ubicación (x,y).
- Para zi < z_distance, solo debe incluir puntos de elevación en el cálculo si están dentro de la ventana de elevación definida con la elevación mínima y máxima.
- Para ti < t_window, solo debe incluir el tiempo en el cálculo si está dentro de la ventana de tiempo definida con la hora de inicio y finalización.
- popi es el valor de campo de población del punto i. Es un parámetro opcional.
- disti es la distancia entre el punto i y la ubicación (x,y).
- radius es el radio de búsqueda definido alrededor de la ubicación (x,y).
- zi es la elevación en cada intervalo calculada dentro de la ventana de elevación.
- z_distance es la ventana de elevación definida con la elevación mínima y máxima.
- ti es el tiempo en cada intervalo calculado dentro de la ventana de tiempo (ventana_t).
- t_window es la ventana de tiempo definida con la hora de inicio y finalización.
Parámetros de la ventana de búsqueda
El radio de búsqueda (o ancho de banda, como se denomina en la herramienta Densidad de kernel) determina la extensión o el alcance de la influencia que tiene cada evento en el cálculo de la densidad. Desempeña un papel fundamental en la definición del ámbito espacial y temporal del análisis. Para más información, consulte Radio de búsqueda predeterminado (ancho de banda) en la ayuda de la herramienta Densidad de kernel.
En la herramienta Densidad de kernel espaciotemporal, puede especificar el radio de búsqueda por separado para tres tipos de dimensiones: (x, y), elevación (z) y tiempo (t).
Radio de búsqueda para x e y
El parámetro Radio de búsqueda (x e y) especifica la distancia dentro de la cual los eventos influirán en el cálculo de la densidad en las dimensiones x e y. El radio de búsqueda puede estar en la misma unidad que los datos de entrada o puede especificarse en unidades como metros, kilómetros o grados.
Especificar un radio de búsqueda mayor dará como resultado una superficie de densidad más uniforme, ya que los eventos más alejados de una ubicación concreta tendrán una mayor influencia en su valor de densidad.
Radio de búsqueda para la elevación
El parámetro Radio de búsqueda (z) determina la distancia vertical dentro de la cual los eventos influirán en el cálculo de la densidad en la dimensión de elevación. Puede especificarse en unidades como metros, pies o puede ser la misma que las unidades de elevación de los datos de entrada.
De forma similar a lo que ocurre con los radios de búsqueda x e y, especificar un radio de búsqueda mayor dará como resultado una superficie de densidad más uniforme, ya que los eventos situados a distancias verticales mayores de una ubicación concreta tendrán una mayor influencia en su valor de densidad.
Radio de búsqueda para el tiempo
El parámetro Ventana de tiempo de búsqueda (t) define la extensión temporal dentro de la cual los eventos influirán en el cálculo de la densidad. Puede especificarse en unidades como horas, días o meses. La ventana temporal establece una duración en torno a cada evento, y los eventos que se produzcan dentro de esa duración contribuirán al cálculo de la densidad en una ubicación y un momento concretos.
Detalle e uniformidad del resultado
Al ajustar los valores del radio de búsqueda en la pestaña Parámetros de kernel, puede controlar el nivel de detalle e uniformidad de la superficie de densidad resultante. Un radio de búsqueda o un ancho de banda menores captarán patrones más localizados, mientras que un radio de búsqueda o un ancho de banda mayores captarán tendencias y patrones más amplios.
La selección de un radio de búsqueda apropiado o de los valores del ancho de banda requiere una cuidadosa consideración de las características de los datos y de los objetivos del análisis. Experimentar con valores diferentes y evaluar las superficies de densidad resultantes puede ayudarle a encontrar los parámetros más adecuados para su análisis específico.
Cálculo del radio de búsqueda
El algoritmo que se usa para determinar el radio predeterminado de búsqueda hace lo siguiente:
- Calcular el centro medio de los puntos de entrada. Si se proporcionó un campo de Población, este cálculo y los siguientes se ponderarán con los valores de ese campo.
- Calcular la distancia desde los centros medios ponderados para todos los puntos.
- Calcular la mediana ponderada de estas distancias, Dm.
- Calcular el valor de la Distancia estándar ponderada, SD.
Nota:
Consulte Cómo funciona Distancia estándar en la ayuda de la caja de herramientas Estadísticas espaciales para obtener información detallada sobre cómo se calcula la distancia estándar.
El radio de búsqueda predeterminado para (x,y) se determina mediante la siguiente fórmula:

Dónde:
- SD es la distancia estándar.
- Dm es la distancia mediana (ponderada) desde el centro medio (ponderado).
- n es el número de puntos si no se especifica ningún valor del parámetro Campo de población. Si se proporciona el valor del parámetro Campo de población, n es la suma de los valores de los campos.
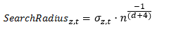
El radio de búsqueda predeterminado para la elevación (z_distance) y la ventana temporal (t_window) se determina mediante la siguiente fórmula:

Dónde:
- σz,t es la desviación estándar en la distribución puntual de las dimensiones z y t.
- n es el número de puntos si no se especifica ningún valor del parámetro Campo de población. Si se suministra el valor del parámetro Campo de población, n es la suma de los valores de los campos.
- d es la dimensión de análisis. El valor predeterminado es 1.
Cálculo de la distancia estándar
Existen dos métodos para calcular la distancia estándar, sin ponderar y ponderado.
La distancia no ponderada se determina mediante la siguiente fórmula:

Dónde:
- xi,yi y zi son las coordenadas de la entidad i.
- {x̄, ȳ, z̄} representa el centro medio de las entidades
- n es igual al número total de entidades.
La distancia ponderada se determina mediante la siguiente fórmula:

Dónde:
- wi es la ponderación de la entidad i
- xi,yi y zi son las coordenadas de la entidad i.
- {X̄w, Ȳw, Z̄w} representa el centro medio ponderado de las entidades.
Ráster multidimensional de elevación e intervalo de tiempo
El resultado de la herramienta Densidad de kernel espaciotemporal es un ráster multidimensional con porciones individuales para cada elevación e intervalo de tiempo. El número total de porciones en el ráster de salida se calcula utilizando la siguiente ecuación si se proporcionan datos de entrada tanto de elevación como de tiempo:

Dónde:
- Zmax es la elevación máxima.
- Zmin es la elevación máxima.
- Tmax es la elevación máxima.
- Tmin es la elevación máxima.
Efecto de los métodos planar y geodésico en la densidad
El cálculo de la densidad variará en función de la selección del sistema de referencia espacial planar o geodésico.
La opción Planar del parámetro Método es apropiada si el análisis se va a realizar en una escala local con una proyección que mantiene de forma precisa la distancia y el área correctas. De forma predeterminada, la herramienta utiliza la distancia planar.
La opción Geodésica es adecuada si el análisis se va a realizar a escala regional o a gran escala, como cuando se utiliza un Web Mercator o cualquier sistema de coordenadas geográficas. Este método tiene en cuenta la curvatura del esferoide y gestiona correctamente los datos cercanos a los polos y la línea internacional de cambio de fecha. El método geodésico siempre produce un resultado más preciso y es el recomendado.
La diferencia entre la distancia planar y la geodésica aumenta proporcionalmente con la distancia al origen. Si trabaja en un área geográfica pequeña, como una ciudad o un condado, la diferencia entre planar y geodésico es proporcionalmente menor que si trabaja a escala de todo un país. El impacto del tamaño del área de estudio y las distorsiones del proyecto cartográfico pueden actuar de forma conjunta para aumentar aún más la distorsión. Para una proyección como Web Mercator, cuanto más se acerque a los polos, menor será el área que pueda analizar con la misma cantidad de distorsión de distancia.
Para comprender las diferencias entre la distancia geodésica y la distancia planar en el cálculo de distancias, consulte Distancia geodésica frente a distancia planar.
Tipos de densidad de salida
El parámetro Valores resultantes proporciona dos opciones con las que calcular y visualizar los tipos de densidad de salida: Densidades y Recuentos esperados.
Si se elige la opción Densidades, los valores de las celdas del ráster de salida representan el valor de densidad calculado por unidad de área.
Si se elige la opción Recuentos esperados, los valores representan el número previsto de eventos por área de celda. Las ecuaciones utilizadas para calcular los recuentos son las siguientes:
- Con solo el radio en el plano x,y, Recuento = Densidad × Área.
- Con elevación, Recuento = Densidad × Área × Intervalo de elevación.
- Con el tiempo, Recuento = Densidad × Área × Intervalo de tiempo.
- Tanto con el tiempo como con la elevación, Recuento = Densidad × Área × Intervalo de elevación × Intervalo de tiempo.
Es importante destacar que estas fórmulas suponen una densidad constante en las celdas ráster de salida, el intervalo de elevación y el intervalo de tiempo. Para generar recuentos esperados fiables, debe prestarse especial atención a la selección de los valores de los parámetros de tamaño de celda, intervalo de elevación e intervalo de tiempo.
Potenciales aplicaciones
Entre las aplicaciones potenciales de esta herramienta se incluyen las siguientes:
- Comprender la superficie del océano y la composición del agua utilizando tanto la elevación como el tiempo. Por ejemplo, examinar el cambio de parámetros como la salinidad, la temperatura del agua o el nivel de oxígeno disuelto en el océano a lo largo del tiempo.
- Comprender las condiciones atmosféricas. Por ejemplo, examinar los cambios de densidad de las lecturas de PM2.5 en una unidad geográfica a diferentes horas del día o del año.
- Aplicar la capacidad de la herramienta de utilizar el tiempo para comprender el brote de una enfermedad, la densidad de la delincuencia o la población de personas sin hogar en diferentes periodos de tiempo.
- Analizar la composición de las partículas suspendidas en la atmósfera en diferentes ubicaciones y elevaciones. Por ejemplo, examinar los cambios en la composición de PM2.5 a lo largo del tiempo para obtener perspectivas sobre los patrones de contaminación atmosférica e identificar posibles fuentes de contaminación.
Recursos adicionales
Härdle, W. K., Müller, M, Sperlich, S. y Werwatz, A. Nonparametric and semiparametric models (Vol. 1). Berlin: Springer, 2004.
Hu, Y., Wang, F., Guin, C. y Zhu, H. "A spatio-temporal kernel density estimation framework for predictive crime hotspot mapping and evaluation." Applied geography, 99, 2018, 89-97.
Nakaya, T. y Yano, K. "Visualising crime clusters in a space‐time cube: An exploratory data analysis approach using space time kernel density estimation and scan statistics." Transactions in GIS, 14(3), 2010, 223-239.
Silverman, B. W. Density Estimation for Statistics and Data Analysis. New York: Chapman y Hall, 1986.