The Multiscale Surface Deviation tool calculates the maximum surface deviation across a range of spatial scales (neighborhoods ranging in size). The outputs of this tool identify this deviation for a cell and the scale at which it was found.
The outputs can be used to interpret features on an input surface raster and their associated scales. The image below shows the results of two different scales for the same input surface. One output used a scale of 9 cells by 9 cells, while the other output used a scale of 29 cells by 29 cells. Here, the smaller scale is more sensitive to local variation in the landscape and captures smaller surface features. On the other hand, the larger scale shows less detail by only capturing larger surface features.

How the maximum deviation value is calculated
The following steps provide an overview of the internal processes used by the tool:
- The scales for analysis are defined using the Minimum Neighborhood Distance, Maximum Neighborhood Distance, Base Distance Increment, and Nonlinearity Factor parameters. The units of these parameters are controlled by the Distance Units parameter.
- For each cell, deviation is calculated at each identified scale.
- The calculated deviations are compared across scales and the largest deviation values are returned.
Each of these steps are explained in more detail in the sections below.
How the scales to analyze are identified
The scales for analysis are determined using the optional parameters in the Multiscale Surface Percentile tool. The Minimum Neighborhood Distance and Maximum Neighborhood Distance parameters set the minimum and maximum scales for analysis. The Base Distance Increment and Nonlinearity Factor parameters control the increase in neighborhood distance between the minimum and maximum.
Each scale is represented as a neighborhood distance value. Analysis is performed for multiple neighborhood distances depending on the input parameter settings.
For a given target cell, the neighborhood distance is measured from the target cell center outward, creating a square of cells around the target cell. For example, a neighborhood distance of 30 meters for an input surface raster with a 10-meter cell size results in a neighborhood that is 7 cells by 7 cells, as shown in the figure below. This value, 30 meters, would be one of the scales for which the maximum deviation is calculated.

The smallest allowed neighborhood distance is equal to the cell size of the input raster. This is a value of 1 cell, and creates a 3 by 3 neighborhood of cells. In the example above, this minimum is a neighborhood distance of 5 meters.
The neighborhood distance cannot be larger than the input surface raster.
If a neighborhood distance that does not result in an interval of the cell size is specified, the tool will round the distance up to the next interval of the cell size. For example, in the illustration above, if a neighborhood distance of 25 meters is specified, it will round up to the next interval of the cell size, which is 30 meters.
Calculations start with the Minimum Neighborhood Distance parameter value and then each subsequent neighborhood distance is calculated.
The expression for calculating the subsequent neighborhood distances to be used is as follows:
ni = no + [Δn × (i - no)]p- Where:
ni = Neighborhood distance for step i
no = Minimum neighborhood distance
Δn = Base distance increment
i = The step for which neighborhood distance is being calculated (where the first step has a value of 1 + no)
p = Nonlinearity factor
Every new neighborhood distance identified is checked to determine whether it is less than or equal to the Maximum Neighborhood Distance parameter value. If the new distance value is less than or equal to the maximum, neighborhood distance calculations continue. If the new value is greater than the maximum, all neighborhood distances have been identified and deviation calculations begin.
See the How deviation is calculated section below for more information on that portion of the analysis.
How the nonlinearity factor affects the neighborhood distances
The Nonlinearity Factor parameter controls the raster of increase in neighborhood distance. The default is a value of 1, which results in a linear increase in neighborhood distance. That means the increments between neighborhood distances will be equal to the Base Distance Increment parameter value.
When increasing the Nonlinearity Factor parameter value above 1, the increments between neighborhood distances will change after the first one. The first increment will be equal to the Base Distance Increment value, but all subsequent increments will progressively increase in size.
When the Nonlinearity Factor parameter value is set to values above 1, the increment in the distance between subsequent neighborhood distances after the first will progressively increase. Another consequence is that for the same minimum and maximum neighborhood values, a higher nonlinearity factor will result in fewer neighborhood distances overall.
The figure below illustrates the effect of three different settings of the Nonlinearity Factor parameter. In this example, the settings are 1.0, 1.5, and 2.0. For each of these settings, the values for the other parameters are kept the same. The Minimum Neighborhood Distance parameter value is 1, the Maximum Neighborhood Distance value is 10, and the Base Distance Increment value is 1.
For the first increment, the neighborhood distance for all three settings of the nonlinearity factor is the same value, that being 2 cells. After this, the values for the neighborhood distance will start to vary. The increments will become progressively larger for a nonlinearity factor of 1.5, and more so for a factor of 2.0.
When the Nonlinearity Factor parameter value is 1.0, there will be 9 increments in total, and each increment will be larger than the previous in a linear fashion. With a value of 1.5 for the factor, there will only be 4 increments, and 3 increments for a value of 2.0.

The Nonlinearity Factor parameter allows you to customize the sampling density of scales. Using a Nonlinearity Factor parameter value greater than 1.0 allows the scale sampling density to be higher for smaller scales and lower for larger scales. However, you may need to increase the Maximum Neighborhood Distance parameter value in these situations to get the desired number of increments. For most situations, a value between 1.0 and 2.0 is used for the nonlinearity factor.
How deviation is calculated
Deviations are a statistical measure that express how much a value differs from a fixed value, such as the mean of the dataset.
For each neighborhood distance identified for calculation and each cell in the input surface raster, the Multiscale Surface Deviation tool calculates deviation. The maximum deviation values are identified and recorded in the Output Deviation Raster parameter value. The scales at which those deviations were found are recorded as the cell values in the Output Scale Raster parameter value.
To calculate the deviation, first the variance and then the standard deviation is calculated. These calculations are described below.
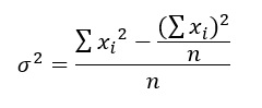
First, the variance is calculated for each cell. The equation is as follows:

- Where:
σ = The variance of the cell values in the neighborhood
xi = The value of cell i in the neighborhood
n = The total number of cells in the neighborhood (not including NoData cells)
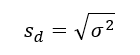
Next, the standard deviation at each cell is calculated using the variance value. The equation is as follows:

- Where:
sd = The standard deviation of the cell values in the neighborhood
σ = The variance of the cell values in the neighborhood
Finally, the deviation value is calculated using the standard deviation value. The equation is as follows:

- Where:
Deviation value = The output deviation which is saved for comparison
xc = The original value of the center cell in the neighborhood
mean = The mean value of the cell values in the neighborhood (not including NoData cells)
sd = The standard deviation
An integral image approach is used for efficient computation of the mean values (Lindsay et al., 2015). In this approach, local sums of neighborhoods are precomputed for improved performance. The largest deviation values are identified and recorded in the Output Deviation Raster parameter value. The scales at which those deviations were found are recorded as the cell values in the Output Scale Raster parameter value.
Use of a GPU
This tool can deliver increased performance if you have certain GPU hardware installed on your system. See GPU Processing with Spatial Analyst for details on how this capability is supported, how to configure it, and how to enable it.
References
Lindsay, John B., Jaclyn M. H. Cockburn, Hanzen A. J. Russell. 2015. "An integral image approach to performing multi-scale topographic position analysis." Geomorphology Volume 245, pp. 51–61. https://doi.org/10.1016/j.geomorph.2015.05.025
Newman, Daniel R., John B. Lindsay, and Jaclyn Mary Helen Cockburn. 2018. "Evaluating metrics of local topographic position for multiscale geomorphometric analysis." Geomorphology 312, 40–50. https://doi.org/10.1016/j.geomorph.2018.04.003