


Hinweis:
ArcGIS Insights wurde abgekündigt und geht 2026 in die Phase "Retired" über. Informationen zur Abkündigung finden Sie unter Abkündigung von ArcGIS Insights.
"Dichte berechnen" verwendet Punkt-Features, um eine Dichtekarte in einem Interessenbereich zu berechnen. Bei "Dichte berechnen" wird mithilfe einer Kerndichte-Berechnung eine Dichtefläche anhand von Punkt-Features erstellt.
Beispiel
Anhand von Vogelzählungen lässt sich die Dichte von Arten berechnen. Diese Dichtewerte können dann mit den Landnutzungsdaten verglichen werden, um zu ermitteln, welche Lebensräume die einzelnen Arten bevorzugen.
Ausführen von "Dichte berechnen"
"Dichte berechnen" kann für Karten mit Punkt-Layern ausgeführt werden.
Führen Sie zum Berechnen der Dichte die folgenden Schritte aus:
- Klicken Sie bei Bedarf auf die Karten-Kachel, um sie zu aktivieren.
Eine Kachel ist aktiv, wenn die Symbolleiste und die Schaltfläche Aktion
angezeigt werden. - Klicken Sie auf die Schaltfläche Aktion, und wählen Sie Dichte berechnen aus.
- Wählen Sie für Punkt-Layer auswählen den Layer aus, mit dem Sie die Dichte berechnen möchten.
- Blenden Sie Zusätzliche Optionen ein, und geben Sie Werte für die Parameter Gewichtung, Suchradius (Bandbreite) und Zellengröße an, falls erforderlich.
Weitere Informationen finden Sie im nachstehenden Abschnitt "Verwendungshinweise".
- Klicken Sie auf Ausführen.
Verwendungshinweise
Mit dem Parameter Punkt-Layer auswählen können Sie ein Dataset für die Berechnung von Dichten auswählen. Das Dropdown-Menü enthält ausschließlich Punkt-Features.
Blenden Sie Zusätzliche Optionen ein, um Zugriff auf die Parameter Gewichtung, Suchradius (Bandbreite) und Zellengröße zu haben. In der folgenden Tabelle werden diese Parameter zusammen mit ihren Standardwerten zusammengefasst:
| Parameter | Beschreibung | Standardwert |
|---|---|---|
Gewichtung | Feld, das den Wert der einzelnen Features angibt. Wenn Sie z. B. über ein Dataset für Einzelhandelsstandorte verfügen, das ein Feld für Umsätze aufweist, können Sie dieses als Gewichtung zum Erstellen einer Dichtefläche basierend auf der Verkaufsmenge und nicht basierend auf Standorten verwenden. | Alle Features werden standardmäßig mit 1 gewichtet (die Dichtefläche basiert dann ausschließlich auf dem Standort der Features). |
Suchradius (Bandbreite) | Eine Entfernung (in Meilen, Fuß, Kilometern oder Metern), die zum Suchen von Eingabe-Features innerhalb derselben Nachbarschaft wie das fokale Feature dient. | Eine angemessene Suchentfernung für das Eingabe-Dataset wird mithilfe der Faustregel-Formel nach Silverman berechnet. |
Zellengröße | Die Größe der Ausgabe-Features, die die Dichtefläche erzeugen. | Auf der Grundlage der Ausdehnung des Eingabe-Datasets und der Anzahl der Features wird eine geeignete Zellengröße für das Eingabe-Dataset berechnet. |
Auf das Ergebnis-Dataset wird ein Style anhand von Anzahl und Mengen (Farbe) und der standardmäßigen Klassifizierungsmethode "Gleiches Intervall" mit 10 Klassen angewendet.
Mit der Schaltfläche Kachel umdrehen
können Sie Informationen auf der Rückseite der Kachel anzeigen, beispielsweise die Werte für den Suchradius und die Bandbreite.
Einschränkungen
Beim Eingabe-Dataset muss es sich um Punkt-Features handeln.
Kreuzfilter sind nicht mit Ergebnis-Datasets kompatibel, die mit diesem Werkzeug erstellt wurden. Um einen Kreuzfilter einer nicht unterstützten Kachel hinzuzufügen, müssen Sie das Dataset in die Arbeitsmappe kopieren und einen Kreuzfilter auf die beim Kopiervorgang erstellten Kacheln anwenden.
Dieses Werkzeug wird für schreibgeschützte Verbindungen mit Google BigQuery und Datenbankplattformen, die nicht standardmäßig unterstützt werden, nicht unterstützt.
Funktionsweise von "Dichte berechnen"
Bei "Dichte berechnen" wird durch eine Kerndichte-Berechnung eine Dichtefläche ermittelt. In den folgenden Abschnitten werden die Berechnung der Kerndichte sowie die Standardberechnungen für Suchradius (Bandbreite) und Zellengröße erläutert.
Kerndichte
Bei der Kerndichte wird die Dichte von Features in einer kreisförmigen Nachbarschaft, die jede Ausgabezelle umgibt, unter Verwendung einer Gauß'schen Funktion berechnet. Dabei wird im Prinzip eine sanft geschwungene Fläche über alle Punkte gelegt. Der Flächenwert ist an der Punktposition am höchsten, verringert sich mit zunehmender Entfernung vom Punkt und erreicht schließlich Null, wenn die Entfernung vom Punkt der Suchentfernung entspricht.

Die Zahlen in der folgenden Tabelle entsprechen den Zahlen in der oben gezeigten Abbildung:
| Zahl | Beschreibung |
|---|---|
![]() | Einer der Punkte im Dataset |
![]() | Eine Entfernung, die dem Suchradius entspricht (Bandbreite) |
Jede Fläche umfasst auch ein Volumen. Das Volumen der Fläche entspricht dem Parameterwert Gewichtung für jedes Feature oder 1, wenn kein Wert angegeben wurde. Die Gewichtung bestimmt, wie oft ein Punkt in der Dichteformel gezählt wird.
Die Dichte für jede Zelle wird berechnet, indem die Werte aller Kernel-Flächen addiert werden, die den Ausgabezellenmittelpunkt überlagern. Die Kernel-Funktion basiert auf der in Silverman (1986, S. 76) beschriebenen Quartic-Kernel-Funktion.

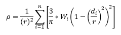
Die folgende Formel wird zur Berechnung der Dichte an der XY-Position verwendet:

Dabei gilt:
- ρ = Die Dichte an der XY-Position.
- r = Der Suchradius (Bandbreite).
- i = 1, ..., n Eingabe-Punkte. Nur Punkte innerhalb des Suchradius der XY-Position werden einbezogen.
- Wi = Die Gewichtung von Punkt i. Wenn kein Gewichtungsfeld angegeben ist, lautet die Gewichtung für alle Punkte 1.
- di = Der Abstand zwischen dem Punkt i und der XY-Position. Die Entfernung muss kleiner als der Suchradius sein.
Suchradius (Bandbreite)
Der Standardsuchradius wendet einen Algorithmus auf die Daten an, der sowohl auf der Datenausdehnung als auch auf der Dichte der Punkte basiert. Der Parameter Suchradius (Bandbreite) wird leer angezeigt, da der Standardradius erst berechnet wird, wenn die Analyse beginnt. Wenn Sie den Parameter Suchradius (Bandbreite) leer lassen, wird der Standardradius angewendet.
Wenn Sie einen anderen Suchradius angeben möchten, bedenken Sie, dass das Muster umso allgemeiner wird, je größer Sie den Suchradius wählen. Ein kleinerer Suchradius zeigt mehr lokale Variationen, verhindert jedoch möglicherweise einen breiteren Überblick.
Zellengröße
Wenn keine Zellengröße angegeben ist, wird die Zellengröße anhand der in Hengl (2006) beschriebenen Formeln berechnet. Die Formeln sind Dataset-abhängig und bestimmen sich aus der Anzahl der Features sowie der Ausdehnung oder dem Maßstab der Eingabe-Datasets, um die Performance und die Ausgabeauflösung zu optimieren.
Entfernungsberechnungen
Sie können "Dichte berechnen" entweder mit einem projizierten Koordinatensystem (projizierte Daten) oder einem geographischen Koordinatensystem (nicht projizierte Daten) ausführen. Wenn projizierte Daten verwendet werden, wird eine euklidische Entfernung berechnet (eine geradlinige Entfernung, die auf einer flachen Fläche gemessen wird). Wenn nicht projizierte Daten verwendet werden, wird eine geodätische Entfernung berechnet (eine Linie, die auf einer Kugel dargestellt wird und für die Erdkrümmung steht). Die Berechnung der geodätischen Entfernung basiert auf der Formel von Haversine.
Referenzen
Silverman, B. W. 1986. Density Estimation for Statistics and Data Analysis. Monographs on Statistics and Applied Probability. New York: Springer.
Hengl, Tomislav. 2006. "Finding the right pixel size." Computers & Geosciences, 32, Nr. 9 (November): S. 1283–1298. https://doi.org/10.1016/j.cageo.2005.11.008
Ressourcen
Weitere Informationen finden Sie in den folgenden Quellen:

