| Beschriftung | Erläuterung | Datentyp |
Eingabetabelle | Die Eingabetabelle oder -Feature-Class mit dem Feld, das transformiert werden soll. Die neu transformierten Felder werden zur Eingabetabelle hinzugefügt. | Table View; Raster Layer; Mosaic Layer |
Zu transformierendes Feld | Die Felder, die die zu transformierenden Werte enthalten. Für jedes Feld kann ein Ausgabefeldname angegeben werden. Wenn kein Ausgabefeldname angegeben wird, erstellt das Werkzeug einen Ausgabefeldnamen aus dem Feldnamen und der Transformationsmethode. | Value Table |
Transformationsmethode (optional) | Gibt die Methode an, die zum Transformieren der Werte in den angegebenen Feldern verwendet wird.
| String |
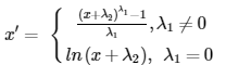
Potenz (optional) | Der Potenzparameter (λ1) der Box-Cox-Transformation und der inversen Box-Cox-Transformation. Wenn für die Box-Cox-Transformation kein Wert angegeben wird, wird ein optimaler Wert über eine Schätzung der maximalen Wahrscheinlichkeit (Maximum Likelihood Estimation, MLE) ermittelt. Für die inverse Box-Cox-Transformation muss ein Wert angegeben werden. | Double |
Verschieben (optional) | Der Wert, um den die Daten verschoben werden (ein konstanter Wert wird hinzugefügt). Kein Versatz wird angewendet, wenn 0 angegeben ist. Für die Transformationen "Logarithmisch", "Box-Cox" und "Quadratwurzel" wird vor der Transformation ein Standardversatzwert hinzugefügt, falls negative oder Null-Werte vorhanden sind. Für die Transformationen "Exponentiell" (logarithmisch invers), "Box-Cox invers" und "Quadrat" (Quadratwurzel invers) wird standardmäßig kein Versatz angewendet. Wenn ein Versatzwert angegeben wird, wird er nach Anwendung der Transformation subtrahiert. Dadurch können Sie den gleichen Versatzwert für Transformationen und deren Umkehrungen verwenden. | Double |
Abgeleitete Ausgabe
| Beschriftung | Erläuterung | Datentyp |
| Aktualisierte Eingabetabelle | Die aktualisierte Tabelle mit den transformierten Feldern. | Table View |


