| Beschriftung | Erläuterung | Datentyp |
Eingabetabelle | Die Tabelle, die das Feld mit den zu standardisierenden Werten enthält. | Table View; Raster Layer; Mosaic Layer |
Zu standardisierendes Feld | Die Felder, die die zu standardisierenden Werte enthalten. Für jedes Feld kann ein Ausgabefeldname angegeben werden. Wenn kein Ausgabefeldname angegeben wird, erstellt das Werkzeug einen Ausgabefeldnamen aus dem Feldnamen und der ausgewählten Methode. | Value Table |
Standardisierungsmethode (optional) | Gibt die Methode an, die zum Standardisieren der Werte in den angegebenen Feldern verwendet werden soll.
| String |
Minimum (optional) | Der von der Methode Minimum-Maximum des Parameters Standardisierungsmethode verwendete Wert, um den Minimalwert im Maßstab der angegebenen Ausgabewerte anzugeben. | Double |
Maximum (optional) | Der von der Methode Minimum-Maximum des Parameters Standardisierungsmethode verwendete Wert, um den Maximalwert im Maßstab der angegebenen Ausgabewerte anzugeben. | Double |
Abgeleitete Ausgabe
| Beschriftung | Erläuterung | Datentyp |
| Aktualisierte Eingabetabelle | Die Tabelle, die die neuen codierten Felder enthält. | Table View |

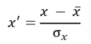
, dabei gilt: x' ist der standardisierte Wert, x ist der ursprüngliche Wert, x̄ ist der Mittelwert (Durchschnitt), und σx ist die Standardabweichung.
, dabei gilt: x' ist der standardisierte Wert, x ist der ursprüngliche Wert, min(x) ist das Minimum der Daten, max(x) ist das Maximum der Daten, a ist das benutzerdefinierte Minimum, und b ist das benutzerdefinierte Maximum.
, dabei gilt: x' ist der standardisierte Wert, x ist der ursprüngliche Wert, und max(|x|) ist das Maximum der absoluten Werte der Daten.
, dabei gilt: x' ist der standardisierte Wert, x ist der ursprüngliche Wert, median(x) ist der Medianwert der Daten, und IQR(x) ist der Interquartil-Bereich der Daten.