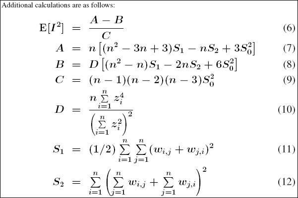
Global Moran's I 其他数学计算

Global Moran's I 统计量的其他数学计算