| 标注 | 说明 | 数据类型 |
输入表 | 包含待变换字段的输入表或要素类。 新变换的字段将添加到输入表中。 | Table View; Raster Layer; Mosaic Layer |
要变换的字段 | 包含要变换的值的字段。 对于每个字段,可以指定输出字段名称。 如果未提供输出字段名称,则该工具将使用字段名称和变换方法来创建输出字段名称。 | Value Table |
变换方法 (可选) | 指定将用于变换指定字段中包含的值的方法。
| String |
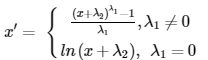
幂 (可选) | Box-Cox 变换和逆 Box-Cox 变换的幂参数 (λ1)。 对于 Box-Cox 变换,如果未提供任何值,则将使用最大似然估计 (MLE) 来确定最佳值。 对于逆 Box-Cox 变换,必须提供一个值。 | Double |
偏移 (可选) | 将用于偏移数据的值(添加一个常量值)。 如果指定 0,则不会应用任何偏移。 对于对数、Box-Cox 和平方根变换,如果存在负值或零值,则将在变换之前添加默认偏移值。 对于指数(逆对数)、逆 Box-Cox 和平方(逆平方根)变换,则默认不会应用任何偏移。 如果提供了偏移值,则将在应用变换后减去该值。 由此可以针对变换及其相关的逆变换使用相同的偏移值。 | Double |
派生输出
| 标注 | 说明 | 数据类型 |
| 更新的输入表 | 已更新的表,其中包含经过变换的字段。 | Table View |


