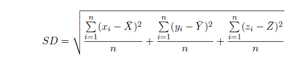
计算
标准距离如下所示:

其中 x i , y i 和 z i 为要素 i 的坐标,{x̄, ȳ, z̄} 表示要素的平均中心,n 为要素总数。
加权标准距离扩展如下:

其中 wi 是要素 i 的权重,{x w, y w, z w} 表示加权的平均中心。
输出

潜在的应用
- 您可以利用两种或多种分布的值对分布进行比较。例如,犯罪分析家可以对袭击行为和汽车偷窃行为的紧密度进行比较。了解不同犯罪类型的分布情况可能有助于警察制定出应对犯罪行为的策略。如果特定区域内的犯罪行为分布很紧凑,那么在该区域中心附近配置一辆警车也许就足够了。但如果分布较分散,则可能需要几辆警车同时巡查该区域,才能更有效地对犯罪行为做出响应。
- 您还可以对同一类型要素在不同时间段内的分布情况进行比较。例如,犯罪分析家可以对白天盗窃行为和夜间盗窃行为进行比较,以了解白天与夜间相比,盗窃行为是更加分散还是更加紧凑。
- 此外,还可将要素分布与静态要素进行比较。例如,可以针对某个区域内各响应消防站在几个月内接到的紧急电话的分布情况进行度量和比较,以了解哪些消防站响应的区域较广。
其他资源
Mitchell, Andy. The ESRI Guide to GIS Analysis,Volume 2. ESRI Press, 2005.