| 标注 | 说明 | 数据类型 |
输入多维栅格 | 输入多维栅格数据集。 | Raster Dataset; Raster Layer; Mosaic Dataset; Mosaic Layer; Image Service; File |
维度 | 将沿此维度为分析中所选的一个或多个变量提取趋势。 | String |
变量 [维度信息](描述) (可选) | 将计算趋势的一个或多个变量。如果未指定变量,则将分析多维栅格中的第一个变量。 | String |
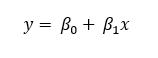
趋势类型
(可选) | 指定用于执行沿维度像素值的趋势分析的类型。
| String |
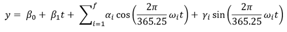
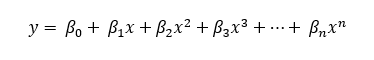
频率/多项式阶数
(可选) | 趋势拟合中使用的频率或多项式阶数。如果趋势类型是多项式,则此参数将指定多项式阶数。如果趋势类型为谐波,则此参数将指定用于拟合趋势的模型数量。 仅当分析的维度是时间时,趋势分析中才会包含此参数。 如果趋势类型参数为谐波,则默认值为 1,这意味着将使用一阶谐波曲线来拟合模型。 如果趋势类型参数是多项式,则默认值为 2 或二阶多项式。 | Long |
忽略 NoData (可选) | 指定分析中是否忽略 NoData 值。
| Boolean |
周期长度
(可选) | 要进行建模的周期性变化的长度。当趋势类型设置为谐波时,此参数为必需项。例如,叶绿度通常在一年中具有一个较强的变化周期,因此周期长度为 1 年。每小时温度数据在一天中具有一个较强的变化周期,因此周期长度为 1 天。 对于每年周期变化的数据,默认长度为 1 年。 | Double |
周期单位 (可选) | 指定用于谐波周期长度的时间单位。
| String |
RMSE
(可选) | 指定是否将计算趋势拟合线的均方根误差 (RMSE)。
| Boolean |
R 平方 (可选) | 指定是否将为趋势拟合线计算 R 平方拟合优度统计数据。
| Boolean |
斜率系数的 P 值 (可选) | 指定是否将为趋势线的斜率系数计算 p 值统计数据。
| Boolean |
季节性期间
(可选) | 指定在执行 Seasonal-Kendall 测试时用于季节性期间长度的时间单位。
| String |
返回值
| 标注 | 说明 | 数据类型 | 输出多维栅格 | 输出云栅格格式 (CRF) 多维栅格数据集。 | Raster |



