分位数-分位数 (QQ) 图是一种探索性工具,用于评估一个数值变量的分布与正态分布之间的相似性,或两个数值变量分布之间的相似性。
共有两种类型的 QQ 图:正态 QQ 图和普通 QQ 图。
- 正态 QQ 图是通过以数值变量的分位数为纵坐标,以正态分布的分位数为横坐标进行绘图构建而成的。
- 普通 QQ 图以一个数值变量的分位数为纵坐标,以第二个数值变量的分位数为横坐标进行绘图。
如果作比较的分位数的分布相同,则绘制的点将会形成一条 45 度倾斜的直线。 绘制的点偏离直线越远,作比较的分布相似度越低。
变量
正态 QQ 图需要一个数值变量,该数值变量将以正态分布为横坐标进行绘制。 普通 QQ 图需要两个数值变量,这两个数值变量相对彼此进行绘制。
变换
某些分析方法需要呈正态分布的数据。 如果数据偏斜(分布不均衡),则可能需要将数据变换为正态分布。 正态 QQ 图使您可以在数据分布上浏览对数和平方根变换的效果,同时将其与正态分布作比较。
对数变换
对数变换通常用于呈正偏分布的数据,其中有些值非常大。 如果这些大值位于数据集中,对数变换有助于使方差更加恒定并会归一化数据。
注:
对数变换只能应用于所有变量的值均大于零的情况。 任何零值都将导致错误。
平方根变换
平方根变换和对数变换类似,因为它会减少数据集的右偏度。 不同于对数变换的是,平方根变换可以应用于零。
注:
平方根变换只能应用于所有变量的值大于或等于零的情况。 任何负值都将导致错误。
倒数
倒数变换可获取字段中每个值 (x) 的倒数 (1/x)。
注:
倒数变换不能应用于零值。 如果字段中的值为零,则将这些值视为空值。
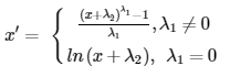
Box-Cox
Box-Cox 变换将以下幂函数应用于正态分布值:

注:
Box-Cox 变换只能应用于正值。 如果存在负值或零值,请使用偏移参数以确保所有值均为正值。
轴
多个选项可以控制轴和相关设置。
轴边界
默认的最小和最大轴边界是根据轴上表示的数据值的范围设置的。 可以输入所需的新轴边界值,对这些值进行自定义。 单击重置图标,轴边界将会恢复为默认值。
格网间隔
使用间隔控件配置 x 轴和 y 轴的格网间隔。 默认情况下,将自动计算格网间隔。
数字格式
可以通过指定数字格式类别或定义自定义格式字符串来设置轴显示数值的格式。
外观
标题和描述
图表和轴默认标题将基于变量名和图表类型给定。 可在图表属性窗格的常规选项卡上对此进行编辑。 您也可以为描述选项提供值,这是显示在图表窗口底部的文本块。
颜色
QQ 图将从源图层符号系统中继承轮廓并填充颜色。 使用不同于 QQ 图变量的属性对图层进行符号化,则 QQ 图可视化中可显示一个第三变量。
参考线
可将参考线或范围添加到图表,以此作为参考或者用于突出显示重要值。 要添加新参考线,在图表属性窗格的参考线选项卡中,单击添加参考线。 要绘制一条线,请在要绘制线的位置为值提供值。 要创建一个范围,请提供一个至值。 您也可以通过指定标注值为参考线添加文本。
示例
创建 QQ 图对加利福尼亚的微粒物质样本是否为正态分布进行评估。
- 请比较以下内容的分布 -Particulate Matter
- 存在变换 - 无
- 至 - <正态分布>
