| Подпись | Описание | Тип данных |
Входная таблица | Таблица, содержащая поля со значениями, которые будут стандартизированы. | Table View; Raster Layer; Mosaic Layer |
Поле для стандартизации | Поля со значениями, которые будут стандартизированы. Для каждого поля можно указать имя выходного поля. Если имя выходного поля не указано, инструмент создаст имя выходного поля, используя имя поля и выбранный метод. | Value Table |
Метод стандартизации (Дополнительный) | Задает метод, используемый для стандартизации значений, содержащихся в указанных полях.
| String |
Минимальное значение (Дополнительный) | Значение, используемое методом Минимум-максимум параметра Метод стандартизации, для указания минимального значения в шкале предоставленных выходных значений. | Double |
Максимальное значение (Дополнительный) | Значение, используемое методом Минимум-максимум параметра Метод стандартизации, для указания максимального значения в масштабе предоставленных выходных значений. | Double |
Производные выходные данные
| Подпись | Описание | Тип данных |
| Обновленная входная таблица | Таблица, содержащая новые закодированные поля. | Table View |

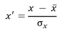
, в котором x' - это стандартизированное значение, x - исходное значение, x̄ - среднее, а σx - стандартное отклонение.
, в котором x' - стандартизированное значение, x - исходное значение, min(x) - минимальное значение, max(x) - максимальное значение, a - заданный пользователем минимум, а b - заданный пользователем максимум.
, где x' - стандартизированное значение, x - исходное значение, а max(|x|) - максимальное абсолютное значение данных.
, где x' - стандартизированное значение, x - исходное значение, median(x) - медиана данных, а IQR(x) - межквартильный размах данных.