Наверх
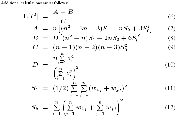
Дополнительные математические расчеты для статистического показателя Глобальный индекс Морана I
Отзыв по этому разделу?
flist