Дополнительная математическая трактовка Общего индекса G

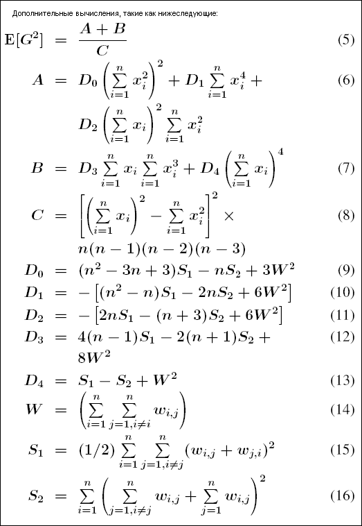
Дополнительные математические расчеты для вычисления статистики по Общему индексу G