| Подпись | Описание | Тип данных |
Входная таблица | Входная таблица или класс пространственных объектов, содержащее поля, которые нужно трансформировать. Новые трансформированные поля добавляются к входной таблице. | Table View; Raster Layer; Mosaic Layer |
Поля, которые нужно трансформировать | Поля, содержащие значения, которые будут трансформированы. Для каждого поля можно указать имя выходного поля. Если имя выходного поля не указано, инструмент создает выходное поле с именем, созданным на основе имени входного поля и метода трансформирования. | Value Table |
Методы трансформирования (Дополнительный) | Определяет метод, который используется для преобразования значений, содержащихся в выбранных полях.
| String |
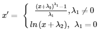
Степенная (Дополнительный) | Параметр степени ( λ1) для трансформации Box-Cox и обратной трансформации Box-Cox. Для трансформации Box-Cox, если значение не указано, будет определено оптимальное значение с использованием оценки максимального правдоподобия (MLE). Для обратной трансформации Box-Cox необходимо указать значение. | Double |
Сдвиг (Дополнительный) | Значение, используемое для сдвига данных (добавляется постоянное число). Если указано 0, ничего не добавляется. Для трансформаций логарифма, Box-Cox и квадратного корня перед преобразованием добавляется значение сдвига по умолчанию, если в данных нет отрицательных или нулевых значений. Для трансформаций методами экспоненты (обратный логарифм), обратный Box-Cox и квадрат (обратный квадратный корень) по умолчанию сдвиг не применяется. Если задано значение сдвига, то это значение вычитается после того, как применен метод трансформирования. Это позволяет использовать то же значение сдвига для преобразований и связанных с ними обратных преобразований. | Double |
Производные выходные данные
| Подпись | Описание | Тип данных |
| Обновленная входная таблица | Обновленная таблица, содержащая преобразованные поля. | Table View |


