| ラベル | 説明 | データ タイプ |
入力多次元ラスター | 入力多次元ラスター データセット。 | Raster Dataset; Raster Layer; Mosaic Dataset; Mosaic Layer; Image Service; File |
ディメンション | このディメンションに沿って、解析で選択された変数に対してトレンドが抽出されます。 | String |
変数 [ディメンション情報] (説明) (オプション) | トレンドを計算する変数。変数が指定されない場合、多次元ラスターの最初の変数が解析されます。 | String |
トレンド タイプ
(オプション) | ディメンションに沿ったピクセル値に対して実行するトレンド解析のタイプを指定します。
| String |
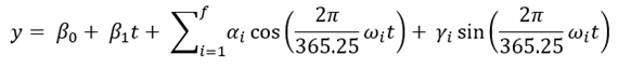
頻度/多項式の次数
(オプション) | トレンド フィッティングで使用する頻度または多項式の次数。トレンド タイプが多項式の場合、このパラメーターは多項式の次数を指定します。トレンド タイプが調和の場合、このパラメーターはトレンドのフィッティングに使用するモデルの数を指定します。 このパラメーターは、解析対象のディメンションが時間である場合にのみ、トレンド解析に含まれます。 [トレンド タイプ] パラメーターが [調和] である場合、デフォルト値は 1、つまり 1 次調和曲線がモデルのフィッティングに使用されます。 [トレンド タイプ] パラメーターが [多項式] である場合、デフォルト値は 2、つまり 2 次多項式です。 | Long |
NoData を無視 (オプション) | 解析で NoData 値を無視するかどうかを指定します。
| Boolean |
サイクル長
(オプション) | モデル化する周期変動の長さ。このパラメーターは、[トレンド タイプ] が [調和] に設定されている場合に必須です。たとえば、葉の緑度には 1 年に 1 回の強い変動サイクルが存在することが多いため、サイクル長は 1 年になります。1 時間ごとの温度データには、1 日に 1 回の強い変動サイクルが存在するため、サイクル長は 1 日になります。 1 年のサイクルで変化するデータのデフォルト長は 1 年です。 | Double |
サイクル単位 (オプション) | 調和サイクルの長さに使用される時間単位を指定します。
| String |
RMSE
(オプション) | トレンド フィット ラインの RMSE (二乗平均平方根誤差) を計算するかどうかを指定します。
| Boolean |
R2 (オプション) | トレンド フィット ラインの R2 適合度統計を計算するかどうかを指定します。
| Boolean |
傾斜係数の P 値 (オプション) | トレンド ラインの傾斜係数の統計量 P 値を計算するかどうかを指定します。
| Boolean |
季節周期
(オプション) | Seasonal-Kendall 検定を実行する際、季節周期として使用される時間単位を指定します。
| String |
戻り値
| ラベル | 説明 | データ タイプ | 出力多次元ラスター | 出力クラウド ラスター形式 (CRF) の多次元ラスター データセット。 | Raster |



