トップへ戻る

Local Moran's I の追加計算式

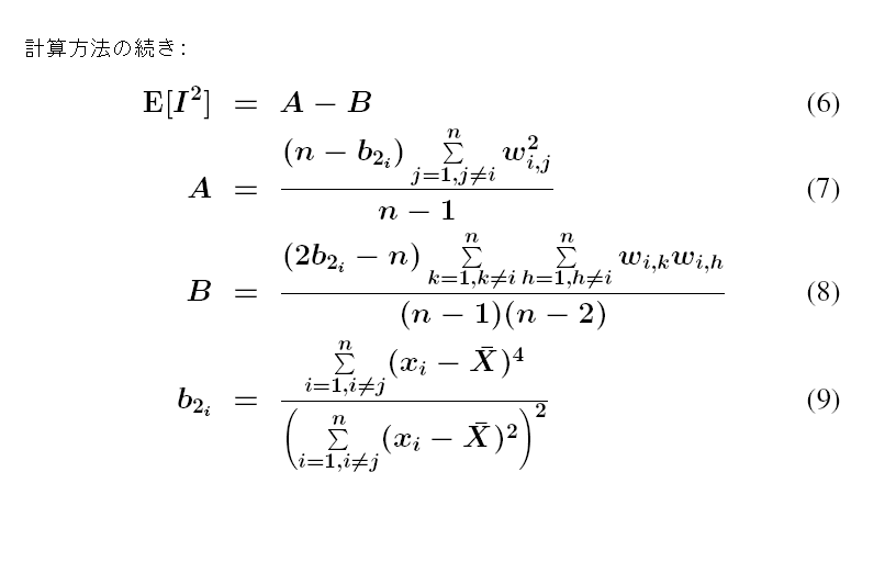
Local Moran's I 統計の追加計算式

このトピックへのフィードバック