[時空間カーネル密度 (Space Time Kernel Density)] ツールは、入力フィーチャの相対的な位置と強度の解析から、時間や深度 (標高) などの他のディメンションが含まれるように、カーネル密度の計算を拡張します。 結果として生成される出力から、複数のカーネル関数を使用して単位面積ごとの値を特定し、滑らかなテーパ サーフェスを各入力ポイントに適合させます。
その他の密度ツールとの比較
密度解析は数多くの空間解析および地球統計解析の鍵となります。 次のようなケースがあります。
- 人口統計
- 濃度、曝露、レジリエンスの調査
- 医療施設、緊急サービス、インフラストラクチャ、道路網など、特定の場所またはコミュニティでの特定のサービスのニーズを判断するのを支援する政策立案
[カーネル密度 (Kernel Density)]、[点密度 (Point Density)]、[線密度 (Line Density)] など、密度を計算する他のツールも使用できます。 これらのツールは、フィーチャの近傍におけるフィーチャ (ポイントまたはライン) の密度を計算します。 しかし、これらのツールでは、他のディメンションは考慮されません。
[時空間カーネル密度 (Space Time Kernel Density)] ツールは、空間と時間の両方で発生したイベントまたはインシデントの密度を解析するほか、標高を考慮することもできます。 標高と時間を方程式に組み込むことで、ツールは、検討中の現象の空間的および時間的な分布、パターン、傾向に関する理解を深めます。
時空間カーネル密度の主要なメリット
[時空間カーネル密度 (Space Time Kernel Density)] ツールでは、カーネル密度推定の概念と時間解析を組み合わせて、パターンを総合的に理解することができます。 このツールが提供する、他の形式の密度推定にないメリットには、次のような機能があります。
- イベントの空間次元と時系列次元の両方を異なる標高で同時に解析します。 これにより、より全体論的なパターンの理解が得られ、時間経過に伴うイベントの濃度が高いまたは低いエリアを空間および標高全体で特定できます。
- 時間的側面を考慮して、時間経過に伴ってイベント密度がどのように変化するかを解析します。 これは、犯罪パターン、感染症の流行、交通の流れなど、動的な現象に関する調査に特に役立ちます。
- 標高と時間的側面の両方を考慮して、異なる標高で時間経過に伴ってイベント密度がどのように変化するかを解析できます。 これは、気圧、オゾン密度、汚染物質、大気と水の成分、水の塩分、溶存酸素濃度、水の伝導率、水圧、気温など、地球科学における動的な現象に関する調査に特に役立ちます。
- カーネル タイプ、検索範囲 (バンド幅)、標高、時間単位など、パラメーターを柔軟に選択できます。 これにより、特定のニーズおよびデータ特性に合わせて解析をカスタマイズでき、より正確で有意義な結果が得られます。
- ArcGIS AllSource の既存の機能を活用して、多次元ラスター データを解析および視覚化し、デフォルトの出力ラスターとして多次元データの Esri CRF (Cloud Raster Format) 形式を使用してさまざまな視覚化オプションを提供します。 これは、特定のディメンションを分離したり、空間および時間全体でデータ内のホット スポット、傾向、パターンを視覚化して特定できるようにしたりすることで、時空間リレーションシップに関する意思決定と理解を向上させる場合に特に役立ちます。
これのツールにより、イベント パターンの微妙な差異を理解することができます。 犯罪解析、感染マッピング、交通計画、環境モニタリング、海洋気象など、さまざまな分野で適用できます。 空間と時間の両方を解析できるため、複雑な現象を理解できる汎用的ツールになっています。 ただし、特定のメリットと適合性は、データの性質と解析の目的によって異なる場合があります。
時空間カーネル密度の計算方法
[時空間カーネル密度 (Space Time Kernel Density)] ツールは、標高と時間のデータを含むポイント フィーチャを使用して、各出力ラスター セルの周辺に存在するカーネル密度を計算します。
理論的には、各ポイントを中心とし滑らかにカーブするサーフェスが形成されます。 この方法は、ポイント入力の「カーネル密度ツールの詳細」に似ています。 ポイント位置でのサーフェスの値は最大になり、ポイントから離れるにしたがって減少し続けます。ポイントから離れた [検索範囲] パラメーターの値で 0 になります。 入力データ タイプがポイントであるため、円形の近傍のみ使用できます。 サーフェスにおけるポイント地点での量は、そのポイントの [Population フィールド] パラメーターの値と等しくなります。NONE を指定した場合は 1 となります。 各出力ラスター セルの密度を求めるには、ラスター セルの中心を覆うすべてのカーネル サーフェスの値を合計します。 カーネル関数は、Silverman の文献に記載された四次カーネル関数 (1986、p. 76、式 4.5) に基づいています。
式は次のとおりです。

ここでは、
- i = 1,…,n は、入力ポイントです。
- f(j) は、各セルの中心の密度です。
- dij は、インシデント ポイントとセルの中心との間の距離です。
- h は、検索範囲です。
[Population フィールド] パラメーターで NONE 以外の設定を使用する場合は、各アイテムの値によって、そのポイントがカウントされる回数が決定されます。 たとえば値 3 の場合、各ポイントは 3 つのポイントとしてカウントされます。 整数または浮動小数の値が使用できます。
デフォルトでは、入力ポイント フィーチャ データの投影法で定義された距離単位に基づいて単位が選択されます。それ以外の場合は、環境設定で指定された出力座標系の単位が使用されます。
出力の [面積単位] パラメーター係数を選択した場合、計算したセルの密度に適切な係数が乗算され、出力ラスターに書き込まれます。 たとえば、入力単位がメートルの場合、出力の面積単位は、デフォルトで平方キロメートルになります。 最終的には、メートルの単位の係数がキロメートルと比較され、1,000,000 (1,000 メートル x 1,000 メートル) 倍異なる値になります。
位置の密度予測
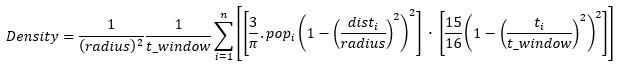
新しい (x,y) 位置の推定密度は、次の式で得られます。

ここでは、
- i = 1,…,n は、入力ポイントです。 disti < radius では、ポイントが (x,y) 位置の半径距離内にある場合にのみ、そのポイントを合計に含めます。
- popi は、ポイント i の人口フィールド値を表します。 このパラメーターはオプションです。
- disti は、ポイント i と (x,y) 位置の間の距離を表します。
- radius は (x,y) 位置の周囲に定義された検索半径を表します。
このようにして算出された密度を、ポイント数、あるいは人口フィールドの合計 (ある場合) で乗算します。 この修正によって、空間積分が、常に 1 と等しいのではなく、ポイント数 (または Population フィールドの合計) と等しくなります。 この実装は、Silverman の文献に記載された四次カーネル関数 (1986) を使用します。 密度を推定する位置ごとに式を計算します。 ラスターが作成されているため、計算は出力ラスターの各セルの中心に適用されます。
時間と標高
密度は、時間全体、標高全体、または時間と標高の両方にわたって計算されます。 時間ディメンションを使用し、定義された時間範囲内の経時的なパターンと傾向を分析します。 標高ディメンションを使用し、地形がイベントの分布に及ぼす影響を考慮します。
以下のセクションでは、これらのディメンションのパラメーターと、使用される式について詳しく説明します。
(x,y) ポイントでの時間全体のカーネル密度
このツールの計算に時間ディメンションを含めるには、開始時間、終了時間、時間間隔を設定する必要があります。
[開始時間] パラメーターは、密度を計算する期間の開始日時を指定します。 特定の日付 (12/31/2023 など)、時間 (3:45:45 PM)、日時 (12/31/2023 3:45:45 PM) を指定できます。 開始時間により、計算の検索タイム ウィンドウ (t_window) の下限が設定されます。
[終了時間] パラメーターは、密度を計算する期間の終了日時を指定します。 開始時間と同様に、特定の日付、時間、日時を指定できます。 終了時間により、計算の検索タイム ウィンドウ (t_window) の上限が設定されます。
[時間間隔] パラメーターは、解析で使用される時間間隔の精度を指定します。 これにより、1 時間、1 日、1 月など、各時間間隔の長さが指定されます。 時間間隔は、密度を計算するために、開始時間と終了時間の間の時間範囲をより小さいセグメントに分割します。 間隔の単位は、秒、分、時間、日、週です。
指定した開始時間、終了時間、時間間隔に基づいて、ツールは、各時間間隔内および指定した時間範囲のイベントの密度を計算します。 指定した時間間隔に基づいて開始時間と終了時間の間の時間範囲をより小さいセグメントに分割することにより、ツールは、各時間間隔内のイベントの密度を計算します。 これにより、時間経過に伴ってイベント密度がどのように変化するかをより詳細に解析できます。 たとえば、時間間隔を 1 時間に設定し、時間範囲が午前 9:00 ~午後 5:00 の場合、ツールは各時間内 (午前 9:00 ~ 10:00、午前 10:00 ~ 11:00 など) のイベントの密度を計算して、イベント発生の時間パターンに関する洞察を提供します。
(x,y) ポイントでの時間全体のカーネル密度を計算するために、空間カーネル k(x,y)、時間カーネル k(t) が使用されます。 これにより、時間全体のカーネル密度の次の式が得られます。

ここでは、
- disti < radius では、ポイントが (x,y) 位置の半径距離内にある場合にのみ、そのポイントを合計に含めます。
- ti < t_window では、開始時間と終了時間で定義されたタイム ウィンドウ内に時間がある場合にのみ、その時間を計算に含めます。
- popi は、ポイント i の人口フィールド値を表します。 このパラメーターはオプションです。
- disti は、ポイント i と (x,y) 位置の間の距離を表します。
- radius は (x,y) 位置の周囲に定義された検索半径を表します。
- ti は、タイム ウィンドウ (t_window) 内で算出された各間隔の時間を表します。
- t_window は、開始時間と終了時間で定義されたタイム ウィンドウを表します。
(x,y) での異なる標高全体のカーネル密度
空間と時間の両方で発生したイベントまたは現象の密度を解析するために、標高パラメーターが使用されます。 ツールは、イベントの空間位置とそのイベントが発生した標高も考慮します。 このツールで標高ディメンションを計算するには、最小標高、最大標高、標高の間隔という 3 つのパラメーターを指定する必要があります。
[最小標高] パラメーターは、密度計算で考慮する標高の範囲内にある最低の標高値を指定します。 これにより、解析の標高範囲の下限が設定されます。
[最大標高] パラメーターは、考慮する標高の範囲内にある最高の標高値を指定します。 最小標高と同様に、これにより、解析の標高範囲の上限が設定されます。
[標高の間隔] パラメーターは、解析で使用される標高の間隔の精度を指定します。 これにより、100 メートル、500 メートル、1 キロメートルなど、各標高の間隔の長さが指定されます。 標高の間隔は、密度を計算するために、最小標高と最大標高の間の標高範囲をより小さいセグメントに分割します。
最小標高、最大標高、標高の間隔を指定することで、ツールは、各高度の間隔内および指定した標高範囲のイベントの密度を計算します。
(x,y) ポイントでの標高全体のカーネル密度を計算するために、空間カーネル k(x,y)、時間カーネル k(t) が使用されます。 これにより、時間全体のカーネル密度の次の式が得られます。

ここでは、
- disti < radius では、ポイントが (x,y) 位置の半径距離内にある場合にのみ、そのポイントを合計に含めます。
- zi < z_distance では、最小高さと最大高さで定義された高さウィンドウ内に高さポイントがある場合にのみ、その高さポイントを計算に含めます。
- popi は、ポイント i の人口フィールド値を表します。 このパラメーターはオプションです。
- disti は、ポイント i と (x,y) 位置の間の距離を表します。
- radius は (x,y) 位置の周囲に定義された検索半径を表します。
- zi は、高さウィンドウ内で算出された各間隔の高さを表します。
- z_distance は、最小高さと最大高さで定義された高さウィンドウを表します。
(x,y) での異なる標高および時間全体のカーネル密度
カーネル密度は標高ディメンションと時間ディメンションにわたって解析できます。 そのためには、最小標高、最大標高、標高の間隔、開始時間、終了時間、時間間隔という 6 つのパラメーターを指定する必要があります。
(x,y) ポイントでの異なる標高および時間全体のカーネル密度を計算するために、次の式が使用されます。

ここでは、
- disti < radius では、ポイントが (x,y) 位置の半径距離内にある場合にのみ、そのポイントを合計に含めます。
- zi < z_distance では、最小高さと最大高さで定義された高さウィンドウ内に高さポイントがある場合にのみ、その高さポイントを計算に含めます。
- ti < t_window では、開始時間と終了時間で定義されたタイム ウィンドウ内に時間がある場合にのみ、その時間を計算に含めます。
- popi は、ポイント i の人口フィールド値を表します。 このパラメーターはオプションです。
- disti は、ポイント i と (x,y) 位置の間の距離を表します。
- radius は (x,y) 位置の周囲に定義された検索半径を表します。
- zi は、高さウィンドウ内で算出された各間隔の高さを表します。
- z_distance は、最小高さと最大高さで定義された高さウィンドウを表します。
- ti は、タイム ウィンドウ (t_window) 内で算出された各間隔の時間を表します。
- t_window は、開始時間と終了時間で定義されたタイム ウィンドウを表します。
検索ウィンドウ パラメーター
検索範囲 ([カーネル密度 (Kernel Density)] ツールではバンド幅とも呼ばれる) は、各イベントが密度計算に及ぼす影響の範囲を決定します。 これは、解析の空間的範囲および時間的範囲の定義に重要な役割を果たします。 詳細については、[カーネル密度 (Kernel Density)] ツールのヘルプにある「デフォルトの検索範囲 (バンド幅) アルゴリズム」をご参照ください。
[時空間カーネル密度 (Space Time Kernel Density)] ツールでは、(x, y)、標高 (z)、時間 (t) の 3 種類のディメンションに対して検索範囲を個別に指定できます。
X および Y の検索範囲
[検索範囲 (x および y)] パラメーターは、X ディメンションと Y ディメンションで、イベントが密度計算に影響を及ぼす距離を指定します。 検索範囲は、入力データと同じ単位にすることも、メートル、キロメートル、度などの単位で指定することもできます。
特定の位置から遠く離れたイベントほどその密度値に与える影響が大きくなるため、指定する検索範囲を大きくすると密度サーフェスが滑らかになります。
標高の検索範囲
[検索範囲 (z)] パラメーターは、標高ディメンションで、イベントが密度計算に影響を及ぼす垂直距離を決定します。 メートルやキロメートルなどの単位で指定することも、入力データの標高単位と同じ単位にすることもできます。
X および Y の検索範囲と同様に、垂直距離が大きいイベントほどその密度値に与える影響が大きくなるため、指定する標高の検索範囲を大きくすると密度サーフェスが滑らかになります。
時間の検索範囲
[検索タイム ウィンドウ (t)] パラメーターは、イベントが密度計算に影響を及ぼす時間範囲を定義します。 時間、日、月などの単位で指定できます。 タイム ウィンドウは、各イベントの期間を設定します。この期間内に発生するイベントは、特定の位置と時間での密度の計算に寄与します。
結果の詳細度と滑らかさ
カーネル パラメーター タブで検索範囲の値を調整することで、生成される密度サーフェスの詳細と滑らかさのレベルを制御できます。 検索範囲またはバンド幅を小さくすると、よりローカライズされたパターンが収集され、検索範囲またはバンド幅を大きくすると、より広範囲のトレンドとパターンが収集されます。
適切な検索範囲またはバンド幅を選択するには、データの特性と解析の目的を慎重に検討する必要があります。 さまざまな値を試して、生成される密度サーフェスを評価すると、特定の解析に最も適したパラメーターを見つけるのに役立ちます。
検索範囲の計算
デフォルトの検索範囲の決定に使用されるアルゴリズムは、以下のとおりです。
- 入力ポイントの地理的中心を計算します。 Population フィールドを指定した場合、この計算および以下のすべての計算は、このフィールドの値によって重み付けされます。
- すべてのポイントの重みつき重心から距離を計算します。
- これらの距離の重み付けされた中央値 (Dm) を計算します。
- 重み付けされた標準距離 (SD) を計算します。
注意:
標準距離の計算方法の詳細については、空間統計ツールボックスのヘルプにある「標準距離の算出の詳細」をご参照ください。
デフォルトの (x,y) の検索範囲は、次の式で得られます。

ここでは、
- SD は標準距離です。
- Dm は、(重み付けされた) 地理的中心からの (重み付けされた) 距離中央値です。
- [Population フィールド] パラメーター値を指定しない場合は、n はポイント数です。 [Population フィールド] パラメーター値を指定した場合は、n はフィールド値の合計です。
標高 (z_distance) およびタイム ウィンドウ (t_window) のデフォルトの検索範囲は、次の式で得られます。

ここでは、
- σz,t は、z ディメンションと t ディメンションのポイント分布の標準偏差です。
- [Population フィールド] パラメーター値を指定しない場合は、n はポイント数です。 [Population フィールド] パラメーター値を指定した場合は、n はフィールド値の合計です。
- d は解析のディメンションです。 デフォルト値は 1 です。
標準距離の計算
標準距離を計算するには、重み付けなしと重み付けありの 2 通りの方法があります。
非加重距離は、次の式で得られます。

ここでは、
- xi、yi、zi は、フィーチャ i の座標です。
- {x̄, ȳ, z̄} は、フィーチャの地理的中心を表します。
- n は、フィーチャの合計数に等しくなります。
加重距離は、次の式で得られます。

ここでは、
- wi は、フィーチャ i の重みです。
- xi、yi、zi は、フィーチャ i の座標です。
- {X̄w, Ȳw, Z̄w} は、フィーチャの重みつき重心を表します。
多次元ラスター標高と時間間隔
[時空間カーネル密度 (Space Time Kernel Density)] ツールの出力は、標高および時間間隔ごとの個別のスライスを含む多次元ラスターです。 標高と時間の両方の入力データを指定した場合、出力ラスターのスライスの総数は、次の式を使用して計算されます。

ここでは、
- Zmax は最大標高です。
- Zmin は最小標高です。
- 標高の間隔は、多次元ラスター出力の標高スライス間の間隔です。
- Tmax は終了時間です。
- Tmin は開始時間です。
- 時間の間隔は、多次元ラスター出力の時間スライス間の間隔です。
[出力パラメーター] グループで時間または標高の間隔が定義されていない場合、入力変数を伴う操作のスライスのデフォルト数は 20 です。 標高と時間の両方を伴う操作では、出力ラスターのスライスのデフォルト数は 400 です。
密度における平面方法と測地線方法の効果
密度の計算は、平面空間参照系または測地線空間参照系の選択によって異なります。
正しい距離と面積を正確に維持する投影法を使用してローカル縮尺で解析を実行する場合は、[方法] パラメーターの [平面] オプションが適しています。 デフォルトでは、このツールは平面距離を使用します。
Web メルカトルや任意の地理座標系が使用される場合など、地域的な縮尺または大縮尺で解析を実行する場合は、[測地線] オプションが適しています。 この方法では、楕円体の曲率を考慮して、極と日付変更線の近くのデータを正確に処理します。 測地線方法では、より精度の高い結果が常に得られるため、この方法をお勧めします。
平面距離と測地線距離の差は、ソースからの距離に比例して大きくなります。 都市や郡などの小さい地理領域を対象としている場合は、平面と測地線の差は、国全体の規模を対象にしている場合よりも小さくなります。 分析範囲の規模と地図投影の歪みの影響が重なると、歪みがさらに大きくなります。 Web メルカトル図法などの投影法では、極に近づくにつれ、同じ量の距離歪みで解析できるエリアが小さくなります。
距離計算における測地線と平面距離の違いについて理解するには、「測地線距離と平面距離」をご参照ください。
出力密度タイプ
[結果の値] パラメーターには、[密度] と [予測数] という、出力密度タイプの計算と視覚化に使用できる 2 つのオプションがあります。
[密度] 設定を選択した場合、出力ラスターのセル値は、単位面積あたりで算出された密度の値を表します。
[予測数] 設定を選択した場合、セル面積あたりの予想される入力イベントの数を表します。 総数の計算に使用される式は次のとおりです。
- x,y 平面上の半径のみの場合、個数 = 密度 x 面積。
- 標高の場合、個数 = 密度 x 面積 x 標高間隔。
- 時間の場合、個数 = 密度 x 面積 x 時間間隔。
- 時間と標高の両方の場合、個数 = 密度 x 面積 x 標高間隔 x 時間間隔。
これらの式では、出力ラスター セル、標高間隔、時間間隔の密度が一定であると仮定していることを強調しておきます。 信頼性の高い予測数を得るには、セル サイズ、標高間隔、時間間隔のパラメーター値を慎重に選択する必要があります。
適用例
このツールには次のような適用例があります。
- 標高と時間の両方を使用して、海洋表面と水の成分を理解します。 たとえば、海洋全体での塩分、水温、溶存酸素濃度などのパラメーターにおける時間経過に伴う変化を調査します。
- 大気の状況を理解します。 1 日や 1 年のうちのさまざまな時間で地理単位の PM2.5 測定値の密度変化を調査します。
- さまざまな期間にわたって感染症の流行、犯罪密度、ホームレス人口を把握するために時間を使用するツールの機能を適用します。
- 異なる位置と標高で大気中の浮遊粒子の構成を解析します。 たとえば、大気汚染に関する洞察を得て潜在的な汚染源を特定するために、時間経過に伴う PM2.5 構成の変化を調査します。
参考資料
Härdle, W. K., Müller, M, Sperlich, S., and Werwatz, A. Nonparametric and semiparametric models (Vol. 1). Berlin: Springer, 2004.
Hu, Y., Wang, F., Guin, C., and Zhu, H. "A spatio-temporal kernel density estimation framework for predictive crime hotspot mapping and evaluation." Applied geography, 99, 2018, 89-97.
Nakaya, T., and Yano, K. "Visualising crime clusters in a space‐time cube: An exploratory data analysis approach using space time kernel density estimation and scan statistics." Transactions in GIS, 14(3), 2010, 223-239.
Silverman, B. W. Density Estimation for Statistics and Data Analysis. New York: Chapman and Hall, 1986.