| ラベル | 説明 | データ タイプ |
出力フィーチャクラス | テッセレーション グリッドを含む出力フィーチャクラスのパスと名前。 | Feature Class |
範囲 | テッセレーションがカバーする範囲。 現在の表示エリア、データセットの範囲、または手動で入力した値のいずれかを指定できます。
座標を手動で入力する場合、アクティブなマップの座標系の座標を数値で指定する必要があります。 マップで、入力した座標と異なる表示単位が使用されることがあります。 南と西の座標にはマイナス値の記号を使用します。 | Extent |
形状タイプ (オプション) | 生成する形状を指定します。
| String |
サイズ (オプション) | テッセレーションを構成する個別の形状の面積。 | Areal Unit |
空間参照 (オプション) | 出力データセットが投影される空間参照。 空間参照を指定しないと、出力が入力範囲の空間参照に投影されます。 入力範囲の空間参照も存在しない場合は、出力が GCS_WGS_1984 で投影されます。 | Spatial Reference |
H3 解像度 (オプション) | 六角形の H3 座標精度を指定します。 座標精度の値が大きくなるごとに、ポリゴンの面積はサイズの 7 分の 1 になります。
[形状タイプ] パラメーターが [H3 六角形] に設定されている場合、このパラメーターは有効です。 | Long |
サマリー
特定の範囲をカバーするために正多角形ポリゴン フィーチャのテッセレーション グリッドを生成します。 テッセレーションは、三角形、正方形、菱形、六角形、H3 六角形、または六角形 (縦) のいずれかにすることができます。
図

使用法
入力範囲全体がテッセレーション グリッドでカバーされるようにするには、出力フィーチャを意図的に入力範囲よりも大きく設定します。 このように設定する理由は、テッセレーション グリッドの外周が必ずしも直線にならないため、グリッドの範囲が入力範囲内に収まるようにすると、ギャップが生じてしまうからです。
GRID_ID フィールドが出力に追加されます。
[形状タイプ] パラメーター値が [H3 六角形] の場合、GRID_ID フィールドの値はセルごとに一意の階層インデックスになります。

他のすべての [形状タイプ] パラメーター値では、GRID_ID フィールドはフィーチャごとに一意の ID になります。 ID の形式は A-1、A-2、B-1、B-2 などです。 これにより、[属性検索 (Select Layer By Attribute)] ツールを使用して、クエリで行と列を簡単に選択できるようになります。 たとえば、GRID_ID like 'A-%' で列 A に含まれるすべてのフィーチャを選択したり、GRID_ID like '%-1' で行 1 に含まれるすべてのフィーチャを選択したりすることができます。
別のデータセット内のフィーチャと交差しないグリッド、つまりテッセレーション フィーチャに対して排他的なグリッドを生成するには、[空間条件で選択 (Select Layer By Location)] ツールを使用して、コピー元フィーチャを含む出力ポリゴンを選択した後、[フィーチャのコピー (Copy Features)] ツールを使用して、選択した出力フィーチャを新しいフィーチャクラスに永続的にコピーします。
このツールは面積単位による形状を生成します。 1 辺の長さに基づいて形状の面積を算出するには、次の式のいずれかを使用して、[サイズ] パラメーターの値を計算します。
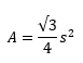
形状 式 例 六角形または六角形 (縦)

1 辺の長さが 100 メートルの六角形を生成するには、[サイズ] パラメーター値を 25980.76211353316 平方メートル (100 の 2 乗 x 3 x ルート 3 / 2) に指定します。
正方形

1 辺の長さが 100 メートルの四角形を生成するには、[サイズ] パラメーター値を 10000 平方メートル (100 の 2 乗) に指定します。
菱形

1 辺の長さが 100 メートルの菱形を生成するには、[サイズ] パラメーター値を 10000 平方メートル (100 の 2 乗) に指定します。
三角形

1 辺の長さが 100 メートルの三角形を生成するには、[サイズ] パラメーター値を 4330.127018922193 平方メートル (100 の 2 乗 x ルート 3 / 4) に指定します。
[形状タイプ] パラメーター値の [H3 六角形] オプションは、[サイズ] パラメーターを無視します。 六角形の面積は、[H3 座標精度] パラメーター値に基づきます。
パラメーター
arcpy.management.GenerateTessellation(Output_Feature_Class, Extent, {Shape_Type}, {Size}, {Spatial_Reference}, {H3_Resolution})| 名前 | 説明 | データ タイプ |
Output_Feature_Class | テッセレーション グリッドを含む出力フィーチャクラスのパスと名前。 | Feature Class |
Extent | テッセレーションがカバーする範囲。 現在の表示エリア、データセットの範囲、または手動で入力した値のいずれかを指定できます。
| Extent |
Shape_Type (オプション) | 生成する形状を指定します。
| String |
Size (オプション) | テッセレーションを構成する個別の形状の面積。 | Areal Unit |
Spatial_Reference (オプション) | 出力データセットが投影される空間参照。 空間参照を指定しないと、出力が入力範囲の空間参照に投影されます。 入力範囲の空間参照も存在しない場合は、出力が GCS_WGS_1984 で投影されます。 | Spatial Reference |
H3_Resolution (オプション) | 六角形の H3 座標精度を指定します。 座標精度の値が大きくなるごとに、ポリゴンの面積はサイズの 7 分の 1 になります。
このパラメーターは、Shape_Type パラメーターが H3_HEXAGON に設定されている場合にアクティブになります。 | Long |
コードのサンプル
次の Python ウィンドウ スクリプトは、イミディエイト モードで GenerateTessellation 関数を使用する方法を示しています。
import arcpy
tessellation_extent = arcpy.Extent(0.0, 0.0, 10.0, 10.0)
spatial_ref = arcpy.SpatialReference(4326)
arcpy.management.GenerateTessellation(r"C:\data\project.gdb\hex_tessellation",
tessellation_extent, "HEXAGON",
"100 SquareMiles", spatial_ref)次の Python ウィンドウ スクリプトは、GenerateTessellation 関数を使用して H3 六角形を作成する方法を示しています。
# Import modules
import arcpy
# Create some variables
out_gdb = r"C:\temp\project.gdb\h3_hexagon"
extent = arcpy.Extent(0.0, 0.0, 10.0, 10.0)
sr = arcpy.SpatialReference(4326)
# Generate H3 hexagons
arcpy.management.GenerateTessellation(out_gdb, Extent=extent, Shape_Type="H3_HEXAGON",
H3_Resolution=5, Spatial_Reference=sr)次のスタンドアロン Python スクリプトは、プログラムでフィーチャクラスから範囲を抽出し、その範囲を使用して GenerateTessellation 関数のパラメーターを入力する方法を示しています。
# Name: GenerateDynamicTessellation.py
# Purpose: Generate a grid of squares over the envelope of a provided feature
# class.
# Import modules
import arcpy
# Set paths of features
my_feature = r"C:\data\project.gdb\myfeature"
output_feature = r"C:\data\project.gdb\sqtessellation"
# Describe the input feature and extract the extent
description = arcpy.Describe(my_feature)
extent = description.extent
# Find the width, height, and linear unit used by the input feature class' extent
# Divide the width and height value by three.
# Multiply the divided values together and specify an area unit from the linear
# unit.
# Should result in a 4x4 grid covering the extent. (Not 3x3 since the squares
# hang over the extent.)
w = extent.width
h = extent.height
u = extent.spatialReference.linearUnitName
area = "{size} Square{unit}s".format(size=w/3 * h/3, unit=u)
# Use the extent's spatial reference to project the output
spatial_ref = extent.spatialReference
arcpy.management.GenerateTessellation(output_feature, extent, "SQUARE", area,
spatial_ref)
- 範囲は、アクティブなマップまたはシーンに基づきます。
- 範囲は、マップまたはシーンに描画された四角形に基づきます。
- 範囲は、アクティブなマップ レイヤーに基づきます。 使用可能なレイヤーを選択するか、
- すべてのフィーチャの範囲。
- 選択したフィーチャの範囲。
- 表示フィーチャの範囲。
- 範囲はデータセットに基づきます。
- 範囲をクリップボードにコピーしたり、クリップボードから貼り付けたりできます。
- 範囲と座標系をクリップボードにコピーします。
- 範囲はデフォルト値にリセットされます。