Disponible avec une licence Spatial Analyst.
Synthèse
Defines the relationship between the vertical cost factor and the vertical relative moving angle through a bidirectional hiking function.
Illustration

Discussion
The bidirectional hiking function determines the average time it takes to hike one direction on an out-and-back hiking trail using the most optimal route. The vertical factor is based on the reciprocal of Tobler's hiking function, but it uses an average and the result is the pace in hours. The formula will be adjusted for the map units.
The VfBidirHikingTime object is used in the Distance Accumulation and Distance Allocation Spatial Analyst tools, as well as the Path Distance, Path Distance Allocation, and Path Distance Back Link Legacy Distance tools.
The vertical factor (VF) object defines the relationship between the vertical cost factor and the vertical relative moving angle (VRMA).
VF defines the vertical difficulty encountered in moving from one cell to the next.
VRMA identifies the slope angle between the FROM or processing cell and the TO cell.
When the VRMA is larger than the low-cut angle and smaller than the high-cut angle, the VF for moving between the two cells is set to the value derived from the function. If the VRMA is greater than the highCutAngle value or lower than the lowCutAngle value, the VF is set to infinity.
The formula for Tobler's hiking function is as follows:

The formula for VfHikingTime, which is the reciprocal of Tobler's hiking function is as follows:

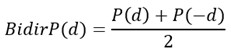
The formula for VfBidirHikingTime is the average of the hiking time using the positive and negative angles:

Where d is the angle that slope is calculated from.
Remarque :
For additional information about Tobler's hiking function, see Adjust the encountered distance using a vertical factor in the geoprocessing tool help and the following resource:
- Tobler, Waldo. 1993. Three Presentations on Geographical Analysis and Modeling: Non-Isotropic Geographic Modeling; Speculations on the Geometry of Geography; and Global Spatial Analysis (93-1). Retrieved from https://escholarship.org/uc/item/05r820mz
Syntaxe
VfBidirHikingTime ({lowCutAngle}, {highCutAngle})| Paramètre | Explication | Type de données |
lowCutAngle | The VRMA degree defining the lower threshold, below which (less than) the VFs are set to infinity. (La valeur par défaut est -70.0) | Double |
highCutAngle | The VRMA degree defining the upper threshold, beyond which (larger than) the VFs are set to infinity. (La valeur par défaut est 70.0) | Double |
Propriétés
| Propriété | Explication | Type de données |
| lowCutAngle (Lecture et écriture) | The VRMA degree defining the lower threshold, below which (less than) the VFs are set to infinity. | Double |
| highCutAngle (Lecture et écriture) | The VRMA degree defining the upper threshold, beyond which (larger than) the VFs are set to infinity. | Double |
Exemple de code
This code sample demonstrates how to create the VfBidirHikingTime class and use it in the Distance Accumulation tool in the Python window.
import arcpy
from arcpy import env
from arcpy.sa import *
env.workspace = "C:/sapyexamples/data"
myVerticalFactor = VfBidirHikingTime(-30, 30)
outDistAccum = DistanceAccumulation("Source.shp", "", "elev.tif",
"cost.tif", "elev.tif",
myVerticalFactor)
outDistAccum.save("C:/sapyexamples/output/distAccumVfBH.tif")Perform a distance accumulation analysis using the Distance Accumulation tool and the VfBidirHikingTime class.
# Name: VfBidirHikingTime_Ex_02.py
# Description: Uses the VfBidirHikingTime object to run the
# DistanceAccumulation tool
# Requirements: Spatial Analyst Extension
# Import system modules
import arcpy
from arcpy import env
from arcpy.sa import *
# Set environment settings
env.workspace = "C:/sapyexamples/data"
# Set local variables
inSourceData = "source.shp"
inCostRaster = "costraster.tif"
inElevation = "elev.tif"
# Create the VfBidirHikingTime Object
lowCutAngle = -30
highCutAngle = 30
myVerticalFactor = VfBidirHikingTime(lowCutAngle, highCutAngle)
# Check out the ArcGIS Spatial Analyst extension license
arcpy.CheckOutExtension("Spatial")
# Run DistanceAccumulation
outDistAccum = DistanceAccumulation(inSourceData, "", inElevation,
inCostRaster, inElevation,
myVerticalFactor)
# Save the output
outDistAccum.save("C:/sapyexamples/output/distaccumvfBH2.tif")Rubriques connexes
Vous avez un commentaire à formuler concernant cette rubrique ?