| Étiquette | Explication | Type de données |
Classe d’entités en sortie | Chemin et nom de la classe d'entités en sortie qui contient la grille tessellée. | Feature Class |
Étendue | Etendue couverte par la tessellation. Il peut s'agir de la zone actuellement visible, de l'étendue d'un jeu de données ou de valeurs saisies manuellement.
Lorsque les coordonnées sont saisies manuellement, elles doivent être des valeurs numériques incluses dans le système de coordonnées de la carte active. La carte peut utiliser des unités d’affichage différentes de celles des coordonnées saisies. Utilisez le signe moins pour les coordonnées sud et ouest. | Extent |
Type de forme (Facultatif) | Spécifie la forme de groupe générée.
| String |
Taille (Facultatif) | Surface de chaque forme individuelle qui constitue la tessellation. | Areal Unit |
Référence spatiale (Facultatif) | Référence spatiale qui est attribuée à la classe d’entités en sortie. | Spatial Reference |
Résolution H3 (Facultatif) | Spécifie la résolution H3 des hexagones. À chaque augmentation de la valeur de la résolution, la surface des polygones est divisée par sept.
Ce paramètre est actif si le paramètre Type de forme est défini sur Hexagone H3. | Long |
Synthèse
Génère une grille tessellée d’entités surfaciques régulières pour couvrir une étendue donnée. La tessellation peut être constituée de triangles, carrés, losanges, hexagones, hexagones H3 ou hexagones transversaux.
Illustration

Utilisation
Pour garantir la couverture de la totalité de l’étendue en entrée par la grille tessellée, les entités en sortie sont prolongées au-delà de l’étendue en entrée. Cela se produit car les bords de la grille tessellée ne sent pas toujours des lignes droites et que des interruptions apparaissent si la grille est limitée par l'étendue en entrée.
Pour les options du paramètre Type de forme autre que Hexagone H3, les entités en sortie sont créées au moyen de calculs euclidiens. Pour obtenir de meilleurs résultats, la valeur du paramètre Étendue doit se trouver dans un système de coordonnées qui minimise la distorsion de distance ou de superficie. Les étendues doivent se trouver dans un système de coordonnées projetées adéquat. Les étendues dont le système de coordonnées géographiques ou les systèmes de coordonnées projetées ne conviennent pas aux mesures de distance doivent être projetées en premier.
Si la valeur du paramètre Type de forme est définie sur Hexagone H3, les valeurs de champ GRID_ID désignent un index hiérarchique unique pour chaque cellule.

Pour toutes les autres valeurs du paramètre Type de forme, le champ GRID_ID contient un ID unique pour chaque entité. Le format des ID est A-1, A-2, B-1, B-2, etc. Cela permet de sélectionner des lignes et des colonnes par requête via l’outil Sélectionner une couche par attributs. Par exemple, sélectionnez toutes les entités de la colonne A avec GRID_ID like 'A-%' ou sélectionnez toutes les entités de la ligne 1 avec GRID_ID like '%-1'.
La référence spatiale en sortie est déterminée par les éléments suivants :
- La valeur du paramètre Référence spatiale, si elle est indiquée.
- Si le paramètre Référence spatiale n’est pas spécifié, la valeur d’environnement Système de coordonnées en sortie est utilisée, si celle-ci est définie
- Si aucun de ces éléments n’est défini, la référence spatiale de la valeur du paramètre Étendue est utilisée
La valeur du paramètre Étendue comporte les coordonnées définissant un rectangle ainsi qu’une référence spatiale. Lorsque l’étendue est définie à partir d’un objet existant, comme l’étendue de la carte active, ou lors de l’utilisation de arcpy.Describe(dataset).extent dans Python, la référence spatiale de l’objet est généralement incluse.
Si la valeur du paramètre Étendue indique une référence spatiale définie, les coordonnées sont censées correspondre à la référence spatiale de la sortie.
Si la valeur du paramètre Étendue comporte une référence spatiale différente de celle de la valeur du paramètre Classe d’entités en sortie, les entités sont générées dans la référence spatiale de la valeur du paramètre Étendue et sont projetées sur la référence spatiale de la sortie. Cette opération ne s’applique pas si le paramètre Type de forme est défini sur Hexagone H3.
Pour générer une grille qui exclut les entités de tessellation ne présentant aucune intersection avec des entités d’un autre jeu de données, utilisez l’outil Sélectionner une couche par emplacement pour sélectionner des polygones en sortie qui contiennent les entités source et utilisez l’outil Copier des entités pour effectuer une copie permanente des entités en sortie sélectionnées dans une nouvelle classe d’entités.
L’outil génère des formes en fonction d’une zone spécifiée. Pour déterminer la surface d’une forme en fonction de la longueur d’un côté, utilisez l’une des formules suivantes pour calculer la valeur du paramètre Taille :
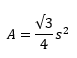
Forme Formule Exemple Hexagone ou Hexagone transversal

Pour générer des hexagones avec des côtés de 100 mètres de long, spécifiez la valeur 25 980,76211353316 mètres carrés comme valeur du paramètre Taille (100 élevé à la puissance 2, multiplié par 3, multiplié par la racine carrée de 3, divisé par 2).
Carré

Pour générer des carrés avec des côtés de 100 mètres de long, spécifiez la valeur 10 000 mètres carrés comme valeur du paramètre Taille (100 élevé à la puissance 2).
Losange

Pour générer des losanges avec des côtés de 100 mètres de long, spécifiez la valeur 10 000 mètres carrés comme valeur du paramètre Taille (100 élevé à la puissance 2).
Triangle

Pour générer des triangles avec des côtés de 100 mètres de long, spécifiez la valeur 4 330,127018922193 mètres carrés comme valeur du paramètre Taille (100 élevé à la puissance 2, multiplié par la racine carrée de 3, divisé par 4).
L’option Hexagone H3 du paramètre Type de forme ignore le paramètre Taille. La surface de l’hexagone repose sur la valeur du paramètre Résolution H3.
Paramètres
arcpy.management.GenerateTessellation(Output_Feature_Class, Extent, {Shape_Type}, {Size}, {Spatial_Reference}, {H3_Resolution})| Nom | Explication | Type de données |
Output_Feature_Class | Chemin et nom de la classe d'entités en sortie qui contient la grille tessellée. | Feature Class |
Extent | Etendue couverte par la tessellation. Il peut s'agir de la zone actuellement visible, de l'étendue d'un jeu de données ou de valeurs saisies manuellement.
| Extent |
Shape_Type (Facultatif) | Spécifie la forme de groupe générée.
| String |
Size (Facultatif) | Surface de chaque forme individuelle qui constitue la tessellation. | Areal Unit |
Spatial_Reference (Facultatif) | Référence spatiale qui est attribuée à la classe d’entités en sortie. | Spatial Reference |
H3_Resolution (Facultatif) | Spécifie la résolution H3 des hexagones. À chaque augmentation de la valeur de la résolution, la surface des polygones est divisée par sept.
Ce paramètre est activé lorsque le paramètre Shape_Type est défini sur H3_HEXAGON. | Long |
Exemple de code
Le script ci-dessous pour la fenêtre Python montre comment utiliser la fonction GenerateTessellation en mode immédiat.
import arcpy
tessellation_extent = arcpy.Extent(0.0, 0.0, 10.0, 10.0)
spatial_ref = arcpy.SpatialReference(4326)
arcpy.management.GenerateTessellation(r"C:\data\project.gdb\hex_tessellation",
tessellation_extent, "HEXAGON",
"100 SquareMiles", spatial_ref)Le script ci-dessous pour la fenêtre Python illustre l’utilisation de la fonction GenerateTessellation pour créer des hexagones H3.
# Import modules
import arcpy
# Create some variables
out_gdb = r"C:\temp\project.gdb\h3_hexagon"
extent = arcpy.Extent(0.0, 0.0, 10.0, 10.0)
sr = arcpy.SpatialReference(4326)
# Generate H3 hexagons
arcpy.management.GenerateTessellation(out_gdb, Extent=extent, Shape_Type="H3_HEXAGON",
H3_Resolution=5, Spatial_Reference=sr)Le script Python autonome ci-après illustre l’extraction par programmation d’une étendue à partir d’une classe d’entités et l’utilisation de l’étendue pour spécifier les paramètres de la fonction GenerateTessellation.
# Name: GenerateDynamicTessellation.py
# Purpose: Generate a grid of squares over the envelope of a provided feature
# class.
# Import modules
import arcpy
# Set paths of features
my_feature = r"C:\data\project.gdb\myfeature"
output_feature = r"C:\data\project.gdb\sqtessellation"
# Describe the input feature and extract the extent
description = arcpy.Describe(my_feature)
extent = description.extent
# Find the width, height, and linear unit used by the input feature class' extent
# Divide the width and height value by three.
# Multiply the divided values together and specify an area unit from the linear
# unit.
# Should result in a 4x4 grid covering the extent. (Not 3x3 since the squares
# hang over the extent.)
width = extent.width
height = extent.height
unit = extent.spatialReference.linearUnitName
size = width/3 * height/3
area = f"{size} Square{unit}s"
# Use the extent's spatial reference to project the output
spatial_ref = extent.spatialReference
arcpy.management.GenerateTessellation(output_feature, extent, "SQUARE", area,
spatial_ref)Environnements
Rubriques connexes
Vous avez un commentaire à formuler concernant cette rubrique ?
: l’étendue repose sur la carte ou la scène active.
: l’étendue est basée sur un rectangle dessiné sur la carte ou dans la scène.
: l’étendue repose sur une couche de carte active. Choisissez une couche disponible ou utilisez l’option
: étendue de toutes les entités.
: étendue de toutes les entités sélectionnées.
: étendue de toutes les entités visibles.
: l’étendue repose sur un jeu de données.
: l’étendue peut être copiée depuis et vers le Presse-papiers.
: copie l’étendue et le système de coordonnées dans le Presse-papiers.
: la valeur par défaut de l’étendue est rétablie.