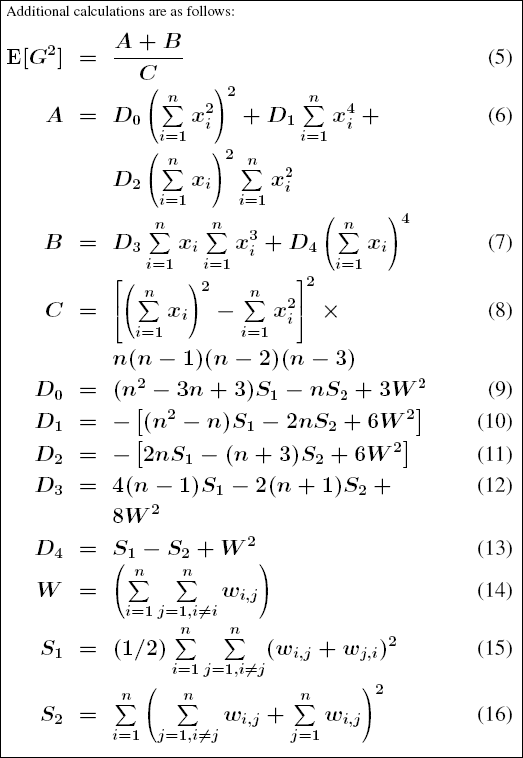
Calculs mathématiques General G supplémentaires

Formules mathématiques supplémentaires utilisées pour calculer la statistique General G