Comprender las diversas características del terreno es esencial para una amplia gama de aplicaciones, desde estudios hidrológicos hasta evaluaciones de susceptibilidad a corrimientos de tierras. Una de estas aplicaciones es la clasificación del terreno en formas de suelo. Una forma de suelo es la forma natural del terreno, como valles o picos.
Entre las diversas técnicas de clasificación del terreno, el método geomófico (Jasiewicz and Stepiski, 2013) identifica las formas del suelo basándose en datos del terreno utilizando diferencias de elevación y conceptos de visibilidad. La herramienta Formas de suelo geomórfonas aplica estos conceptos para encontrar un patrón distinto que represente un área del terreno.
El método geomórfico puede identificar un total de 498 patrones únicos. Algunos geomorfones describen formas del suelo que no se ven en el entorno natural, mientras que otros describen el mismo tipo de forma del suelo. Por lo tanto, existe un tipo de correlación de muchos a uno entre los geomorfones y los tipos de formas del suelo. Una vez identificado el geomorfón, se puede correlacionar con una forma del suelo mediante una tabla de búsqueda.
Lógica de la herramienta Formas de suelo geomórfonas
La herramienta Formas de suelo geomórfonas utiliza el método geomófico para clasificar el terreno en formas de suelo.
Para cada celda del ráster de entrada, la herramienta realiza las siguientes operaciones:
- Configure el área de análisis. Esto determina el área de análisis utilizando los parámetros Distancia de búsqueda y Distancia de omisión.
- Obtenga el patrón geomórfico utilizando el patrón ternario local (LTP). Para encontrar el patrón ternario local (LTP) para cada una de las 8 direcciones cardinales, extienda una línea de visión y clasifíquela en función de los ángulos nadir y cénit.
- Transforme el LTP en un número de base 3 que registre el patrón o geomorfón único. Almacene ese valor para la celda de destino.
- Haga coincidir el patrón geomórfico con una de las 10 formas de suelo más comunes utilizando una tabla de búsqueda.
Cada uno de estos pasos se explica con más detalle en las secciones siguientes.
Configure el área de análisis para calcular el patrón geomórfico.
El área de análisis de la herramienta es el área de terreno utilizada para calcular el patrón geomórfico en una celda de destino. Define qué celdas vecinas utiliza la herramienta para determinar el patrón geomórfico.
El área de análisis viene determinada por los parámetros Distancia de búsqueda y Distancia de omisión. El parámetro Distancia de búsqueda determina la extensión del área cubierta. El parámetro Distancia de omisión identifica qué área de los alrededores inmediatos de la celda de destino se excluirá de la clasificación. La siguiente ilustración muestra un ejemplo del área de análisis definida por una distancia de búsqueda de 3 celdas y una distancia de omisión de 1 celda. Las celdas incluidas para el procesamiento se determinan comparando la distancia entre el centro de cada celda y la celda de destino con el valor de la distancia de búsqueda. Si el valor de distancia de búsqueda es mayor, la celda se incluirá para su procesamiento.

Especificar valores de distancia de búsqueda mayores puede generalizar el terreno circundante. Los valores más pequeños capturarán más detalles en el resultado. Aumentar el valor de distancia de omisión es útil para reducir el ruido de las celdas cercanas que pueden representar valores de elevación erróneos o que pueden no dar información adicional en términos de diferencia de elevación.
Estos dos parámetros también pueden ayudar a identificar entidades del terreno en función de su tamaño. Para ello, ajuste estos parámetros a valores que representen lo que desea clasificar. Algunas directrices generales para configurar estos parámetros son las siguientes:
- Utilice entre 50 y 100 veces el tamaño de la celda de entrada como valor para el parámetro Distancia de búsqueda para identificar entidades de terreno amplias o grandes, como ríos. La identificación de entidades de terreno amplias o grandes también identificaría las pequeñas en el proceso, pero dependiendo del valor del parámetro Distancia de omisión, es posible que no se identifiquen. Por lo tanto, se recomienda variar un parámetro a la vez para encontrar el valor óptimo para cada uno.
- Utilice de 5 a 15 veces el tamaño de celda de entrada para identificar entidades de terreno estrechas o pequeñas, como transmisiones estrechas.
- Utilice valores más pequeños para identificar entidades del terreno muy estrechas, como las cadenas montañosas.
Obtener el patrón geomórfico
Una vez que se ha establecido el área de análisis, el siguiente paso es calcular el patrón geomórfico basado en el patrón ternario local (LTP).
Determinar el patrón ternario local utilizando los ángulos cénit y nadir
En primer lugar, el LTP equivale a asignar un valor de 0, 1 o –1 a cada uno de las 8 direcciones cardinales. El valor que se asignará a una dirección determinada viene determinado por la diferencia entre los ángulos cénit y nadir.
El ángulo cénit, Z, es el ángulo formado entre la dirección cénit (directamente sobre la cabeza) y la línea de visión extendida hasta el límite del área de análisis a lo largo de la dirección que se está analizando. Esta línea representa todo lo que se puede ver desde la celda de destino.
El ángulo nadir, N, se define de manera similar. Corresponde al ángulo formado entre la dirección nadir (directamente por debajo de los pies) y una línea de visión hipotética que sigue de nuevo la elevación más baja dentro del área hasta el límite del área de análisis.
La figura 2 muestra el perfil de elevación del terreno analizado en una dirección (por ejemplo, el norte) y cada uno de los ángulos definidos utilizando su respectiva línea de visión.

Una vez determinados los dos ángulos, el umbral del ángulo de terreno plano se utiliza para determinar el valor LTP que se asignará a la dirección objeto de análisis. La expresión matemática es la siguiente:

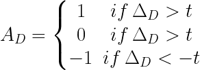
donde,
- AD es el valor asignado a la dirección objeto de análisis.
- ΔD es la diferencia entre los ángulos nadir y cénit, Z y N.
- t es el valor de umbral del ángulo de terreno plano.
El umbral del ángulo de terreno plano es un valor en grados que le permite establecer un límite en el terreno que se clasificará como plano. Siguiendo el mismo ejemplo mostrado en la figura 2, especificar un umbral del ángulo de terreno plano de 1 (t = 1 grado), dará como resultado la asignación de un valor de 1 a la dirección objeto de análisis. Se debe a que 90° - 45° = 45° > 1°.
El mismo proceso se repite en el sentido de las agujas del reloj en cada dirección cardinal.
Construcción del patrón geomórfico para la celda de destino
Después de que se haya asignado un valor a cada una de las 8 direcciones, el resultado se concatena en una tupla de 8 (8 elementos) que se almacenará en la celda de destino. Un ejemplo de tupla de 8 elementos sería (0, -1, 0, 1, 0, 0, 1, 1). Para facilitar el almacenamiento, la tupla se transforma en un número ternario (base de 3). Este resultado es el patrón geomórfico.
El número total de patrones geomórficos posibles es 6.561 (38). Muchos de estos son el resultado de la rotación o reflexión de otros patrones, y el número total puede reducirse a 498.
Hacer coincidir el patrón geomórfico con el tipo de forma de suelo
La herramienta utiliza la tabla de búsqueda para correlacionar un patrón geomórfico con un tipo de forma de suelo específico, siguiendo los argumentos presentados en Jasiewicz and Stepinski (2013). La tabla correlaciona un patrón geomórfico con una de las 10 formas de suelo más comunes.

Se puede correlacionar más de un patrón geomórfico diferente con una forma de suelo específica si hay poca variación en su definición. La variación aceptable es una suposición necesaria para crear la tabla de búsqueda.

Solo los tipos de forma de suelo Pico y Depresión están correlacionados con un patrón geomórfico único. Para el tipo de forma de suelo Pico (-1, -1, -1, -1, -1, -1, -1, -1), esencialmente todas las celdas que rodean la celda de destino son más bajas. De manera similar, para el tipo de forma de suelo Depresión (1, 1, 1, 1, 1, 1, 1, 1), esencialmente todas las celdas que rodean la celda de destino son más altas.
Resultados finales del ráster geomórfico y de forma de suelo
El último paso es almacenar el resultado de la correlación en el valor del parámetro Ráster de formas de suelo de salida. El patrón geomórfico es una salida opcional que puede utilizarse para un análisis o diagnóstico más detallado.
Referencias
Jasiewicz, Juroslav y Tomasz F. Stepinski. 2013. "Geomorphons - a pattern recognition approach to classification and mapping of landforms." Geomorphology Volumen 182, 15 de enero, págs. 147–56. https://doi.org/10.1016/j.geomorph.2012.11.005