Disponible con una licencia de Spatial Analyst.
Un dendrograma es un diagrama que muestra las distancias de atributos entre cada par de clases fusionadas secuencialmente. Para evitar cruzar líneas, el diagrama se ordena gráficamente de modo que los miembros de cada par de clases que se van a fusionar sean vecinos en el diagrama.
La herramienta Dendrograma utiliza un algoritmo de clustering jerárquico. El programa primero calcula las distancias entre cada par de clases en el archivo de firma de entrada. A continuación, fusiona iterativamente el par de clases más cercano y fusiona sucesivamente el siguiente par de clases más cercano y el siguiente más cercano hasta que todas las clases se fusionan. Después de cada fusión, se actualizan las distancias entre todos los pares de clases. Las distancias a las que se fusionan las firmas de clases se utilizan para construir un dendrograma.
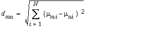
Cuando la opción Utilizar varianza en cálculos de distancia está desactivada (MEAN_ONLY en Python), la distancia dmn entre un par de clases m y n se mide como una distancia entre sus valores medios:

donde:
m y n: los Id. de clases
i: un número de capa
µ: el valor medio de la clase m o n en la capa i
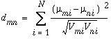
Cuando la opción de varianza está activada (VARIANCE en Python), la herramienta Dendrograma mide las distancias entre pares de clases en función de sus valores medios y varianzas usando la siguiente fórmula:

donde V es una varianza de una clase m o n en la capa i.
Las nuevas estadísticas (valores medios y varianzas) que describen la clase fusionada se basan en el valor medio y la varianza original de las muestras que componen la clase fusionada. Por lo tanto, la clase fusionada se produce utilizando el valor medio y la varianza agrupados. Las dos firmas que se utilizan para crear la clase fusionada se reemplazan por una firma única de la clase combinada. La nueva firma de valor medio se calcula en función de las ubicaciones del espacio de atributos multidimensional de todas las celdas miembros de la clase fusionada. La nueva firma mantiene el número más bajo de las dos clases de entrada para el Id. de clase fusionada.
Los niveles de valor, o las distancias a las que se fusiona cada par de clases, se pueden interpolar utilizando las barras de escala del gráfico de dendrograma. Debido a la limitación del tamaño de un carácter (la resolución gruesa del gráfico), los niveles de fusión se redondean para la visualización. Sin embargo, los valores precisos de los niveles de fusión se presentan como DISTANCE en la tabla asociada con el dendrograma.
Las varianzas, no las covarianzas, se utilizan para calcular la distancia después de fusionar un par de clases. El algoritmo que utiliza Dendrograma no utiliza la distancia de Mahalanobis para determinar la distancia entre clases. Por lo tanto, es posible que las distancias entre las clases y las clases fusionadas no coincidan con los resultados de las herramientas de cuadrícula basadas en la distancia de Mahalanobis, como Editar firmas, Clasificación de máxima verosimilitud y Probabilidad de clase.
El dendrograma puede utilizarse para reducir los errores estadísticos de clasificación en su análisis, ya que proporciona la información necesaria para combinar o separar clases de datos. Si las clases de su análisis son estadísticamente demasiado cercanas (es decir, puede ser difícil diferenciar las dos clases según sus estadísticas), puede dar lugar a una mala clasificación. En este caso, plantéese la fusión de las clases. No hay reglas definitivas de cuándo las clases se deben y no se deben fusionar. ¿Cuándo se deben fusionar las clases? Depende de la heterogeneidad de su área de estudio y sus datos, el número de clases en las que está intentando clasificar los datos y sus objetivos. Por ejemplo, si su área de estudio es muy heterogénea, tiene el potencial para muchas clases distintas y dispares, por lo que es posible que no sea necesario fusionar las clases. En otra situación posible, sus datos pueden ser más homogéneos y podría estar intentando clasificar los datos en demasiadas clases. En la segunda situación, las clases pueden ser estadísticamente demasiado cercanas; por lo tanto, puede ser adecuado fusionar algunas de las clases.
Si su análisis no requiere clases detalladas, es posible que desee fusionar las clases en categorías más generales para disminuir la oportunidad de que se produzcan clasificaciones incorrectas. El dendrograma identifica qué clases son estadísticamente más cercanas, pero depende de usted, utilizando sus conocimientos del área y sus objetivos, determinar cuándo es apropiado fusionar las clases.
Por ejemplo, puede ser apropiado fusionar dos clases si ha especificado una clase como humedales generales y una segunda clase como ciénagas. Sin embargo, las estadísticas determinadas a partir de las muestras de entrenamiento son muy similares entre las dos clases; por lo tanto, estas dos clases estarán próximas en el dendrograma resultante. Si solo le interesa identificar las zonas húmedas, es posible que desee fusionar las ciénagas en la clase de humedales generales.
El dendrograma no solo identifica qué clases se pueden fusionar, también puede identificar cuándo podría ser beneficioso agregar clases. Si una clase está estadísticamente lejos de otra clase, puede agregar clases para perfeccionar la clasificación. Por ejemplo, puede haber una clase especificada como cultivo y una segunda clase como césped. Sobre el dendrograma resultante, estas dos clases pueden estar muy alejadas. Sin embargo, supongamos que tiene un ráster multibanda de alta resolución. Si analiza la salida agrícola del área, los datos de resolución más alta le permitirán perfeccionar las clases de cultivos y césped en tipos de cultivo específicos.
Ejemplo
En el siguiente ejemplo, las clases 3 y 5 son los vecinos más cercanos en el espacio de atributos; por lo tanto, se fusionan en el nivel 3.443. Este valor indica el grado de similitud relativo, que también se puede visualizar como la distancia en el espacio multidimensional. Las dos clases se fusionan y se tratan como una sola clase. Se calculan las estadísticas para la clase fusionada y las distancias desde la clase fusionada a las otras clases. A continuación, se identifican las siguientes dos clases más cercanas. Los dos candidatos son las clases 4 y 6. La distancia entre ellos es 3.609 y se fusionan. El proceso itera. Todas las clases se fusionan secuencialmente en clases más grandes hasta que todas las clases se fusionan en una sola clase.
- Configuraciones que se utilizan en el cuadro de diálogo de la herramienta Clasificación de máxima verosimilitud:
Archivo de firma de entrada: isoclust12.gsg
Archivo de dendrograma de salida: isodendro.txt
Utilizar varianza en cálculos de distancia: {default}
Ancho de línea del dendrograma: 78
El archivo de dendrograma de salida será el siguiente:
Distances between pairs of combined classes (in the sequence of merging):
Remaining Merged Between-Class
Class Class Distance
----------------------------------
3 5 3.442680
4 6 3.608904
7 9 3.899360
2 7 3.795288
3 4 4.883098
2 8 6.073256
1 3 6.257798
1 2 9.350019
----------------------------------
Dendrogram of /discb/topdir/myspace/isoclust12.gsg
C DISTANCE
L
A
S 0 1.0 2.1 3.1 4.1 5.2 6.2 7.2 8.3 9.3
S |-------|-------|-------|-------|-------|-------|-------|-------|------
5 -------------------------|
|----------|
3 -------------------------| |
|----------|
6 ---------------------------| | |
|--------| |-------------------|
4 ---------------------------| | |
| |
1 -----------------------------------------------| |
|-
9 -----------------------------| |
| |
7 ---------------------------------------------| |
| | |
2 ------------------------------| |---------------------|
|
8 ---------------------------------------------|
|-------|-------|-------|-------|-------|-------|-------|-------|------
0 1.0 2.1 3.1 4.1 5.2 6.2 7.2 8.3 9.3