La herramienta Análisis de colocación mide patrones locales de asociación espacial entre dos categorías de entidades de puntos usando la estadística de cociente de colocación. El resultado de esta herramienta es una representación cartográfica de la probabilidad de la asociación espacial entre las dos categorías analizadas con campos agregados que incluyen el valor de cociente de colocación y el valor P. Se puede especificar un parámetro de tabla opcional que informe de las asociaciones de cada categoría del parámetro Entidades de entrada de interés a cada categoría representada en el parámetro Entidades vecinas de entrada.
Aplicaciones potenciales
A continuación, se describen aplicaciones potenciales de la herramienta Análisis de colocación:
- ¿Es probable que se coloquen ciertos tipos de negocios (como cafeterías y tiendas minoristas)?
- ¿Las ubicaciones de robo residencial tienen más probabilidades de ocurrir o colocarse con ciertos tipos de viviendas?
- ¿Hay áreas específicas en su área de estudio donde las inspecciones fallidas de restaurantes se colocan con plagas de insectos?
Cómo se calcula el cociente de colocación
Cada entidad de la Categoría de interés (categoría A) se evalúa individualmente para la colocación con la presencia de la Categoría vecina (categoría B) encontrada en su vecindario. En general, si la proporción de puntos B dentro de la vecindad A es mayor que la proporción global de B, el cociente de colocación será elevado. Si la vecindad de A contiene muchos otros puntos A o muchas otras categorías distintas de B, la colocación entre la Categoría de interés (categoría A) y la Categoría vecina (categoría B) será pequeña.
Si se utilizan dos Datasets sin categorías como el Tipo de entrada, las Entidades de entrada de interés se tratan como categoría A y las Entidades vecinas de entrada se tratan como categoría B.
Precaución:
La relación de colocación de este análisis no es simétrica. Los valores de cociente de colocación calculados al comparar la categoría A con la categoría B serán distintos de los cocientes de colocación calculados al comparar la categoría B con la A.
Nota:
Si resulta que cuenta con la categoría C en su vecindad, los cocientes de colocación resultantes no serán los mismo que si solo tenía las categorías A y B. En función de lo que pregunte, puede que sea importante extraer un subconjunto de los datos para incluir solo las categorías A y B. Sin embargo, al extraer un subconjunto, pierde información sobre el resto de categorías presentes. Seleccionar y extraer un subconjunto de datos es importante si se sabe con certeza que la aparición de una categoría no se ve afectada en absoluto por la aparición de otra.
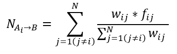
El cociente de colocación local calculado desde el punto Ai en la Categoría de interés A hasta la Categoría vecina B se da como: 
NAi–>B representa el promedio ponderado del número de puntos de tipo B en el vecindario de cada Ai basado en una función de kernel Gaussiano o Bicuadrado dada como: 
Donde fij es una variable binaria que indica si el punto j es un punto de la categoría B. Si esto es cierto, es igual a 1. Si no, es igual a 0. Las ecuaciones de la función kernel se dan como 
Nota:
Si el valor de wij es negativo para el kernel Bicuadrado, la ponderación asignada es 0.

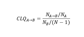
También se puede calcular un cociente de colocación global para ofrecer una medida de asociación espacial entre todas las categorías de su dataset. De esta manera, puede explorar otras relaciones en los datos, puesto que puede encontrar otras categorías firmemente colocadas globalmente. La ecuación del cociente de colocación global se da como: 
Las permutaciones se usan para calcular un valor P para cada una de las Entidades de entrada de interés, para determinar si los valores del cociente de colocación observados son estadísticamente significativos. En cada una de las entidades, el cociente de colocación local se calcula utilizando su vecindario y en cada permutación, las categorías de todos los demás puntos se reorganizan aleatoriamente en toda el área de estudio (manteniendo constante la categoría de ubicación de punto de destino). Se calcula un nuevo cociente de colocación local para cada entidad de interés utilizando las categorías del vecindario para cada permutación. El resultado es una distribución de referencia de los valores del cociente de colocación que luego se compara con el valor real del cociente de colocación de la entidad para determinar la probabilidad de que el valor observado pueda encontrarse en la distribución aleatoria de las permutaciones. Al observar esta distribución, se puede ver el rango de valores del cociente de colocación que razonablemente podrían deberse a la aleatoriedad. Si el valor P es pequeño (menos de 0,05), el cociente de colocación real de la entidad es estadísticamente significativo. El valor predeterminado para la herramienta es de 99 permutaciones. Sin embargo, la precisión del valor P calculado mejora al aumentar las permutaciones.
Tipo de vecindad
Se puede elegir un Tipo de vecindad de una de tres maneras. Una Banda de distancia garantizará que la escala del análisis sea la misma en todos los vecindarios del área de estudio. Significa que las áreas más densas tendrán más puntos considerados en el análisis que las áreas más dispersas. La opción K vecinos más cercanos es adaptable en su distancia y garantiza que cada vecindario contenga el mismo número de vecinos para cada entidad. También puede especificar un archivo .swm creado con la herramienta Generar matriz de ponderaciones espaciales para definir las ponderaciones espaciales de otras maneras.
Utilizar una ventana de espacio-tiempo
Si sus datos tienen campos de fecha y hora, puede dividir su análisis en una serie de ventanas de espacio-tiempo. Al especificar un Campo de tiempo de interés, un Campo de tiempo de categorías vecinas y un Tipo de relación temporal, se puede controlar qué entidades se incluyen en el vecindario analizado. Las entidades que están cercanas en el espacio y el tiempo se analizarán juntas, ya que todas las relaciones entre entidades se evalúan respecto a la ubicación y la marca de tiempo de la entidad de destino. En el siguiente ejemplo, una Banda de distancia de 1 kilómetro encuentra 6 vecinos para la entidad etiquetada como 31 de enero. Sin embargo, en el ejemplo de la parte inferior, una Banda de distancia de 1 kilómetro y una ventana de espacio-tiempo de 1 día después de la entidad objetivo solo encuentra otros 2 vecinos.

Suponga que está analizando orígenes de incendios forestales y ubicaciones de campistas en una región. Si ejecuta la herramienta Análisis de colocación usando solo la opción Banda de distancia para el Tipo de vecindad para definir relaciones de entidades, el resultado será un mapa que muestra las ubicaciones de los puntos de origen de incendios forestales y si se colocaron con todos los campistas registrados en su dataset. Si a continuación ejecuta el análisis nuevamente, definiendo una ventana de espacio-tiempo con los parámetros anteriores, debería asegurarse de que las ubicaciones de campistas que ocurrieron hace un año no tengan ningún efecto en su análisis de los orígenes de incendios forestales que ocurrieron este año. Comprender esta característica temporal de los incendios forestales y los campistas puede tener implicaciones importantes sobre cómo asignar los recursos contra incendios.
Interpretar los resultados
Al ejecutar la herramienta Análisis de colocación, se agregan seis campos a las Entidades de salida resultantes. El campo Local Colocation Quotient contiene la puntuación del cociente resultante para cada una de las Entidades de entrada de interés e incluye también el p-value. Los cocientes de colocación locales están agrupados en bins (LCLQ Bin), etiquetados (LCLQ Type) y se muestran en el mapa de acuerdo con el LCLQ Type de cada entidad. Las entidades de la Categoría de interés (categoría A) que tienen un cociente de colocación local mayor que uno tienen más probabilidades de tener entidades de la Categoría vecina (categoría B) dentro del vecindario. Las entidades que tienen cocientes de colocación inferiores a uno tienen menos probabilidades de tener categoría B dentro de su vecindario. Si una entidad tiene un cociente de colocación igual a uno, significa que la proporción de categorías dentro de su vecindario es una buena representación de la proporción de categorías en toda el área de estudio.
| Símbolo | Bin LCLQ | Tipo de LCLQ | Description |
|---|---|---|---|
![]() | 0 | Colocado - Significativo | El cociente de colocación local es mayor que 1 con un valor P menor que 0,05. |
![]() | 1 | Colocado - No significativo | El cociente de colocación local es mayor que 1 con un valor P mayor que 0,05. |
![]() | 2 | Aislado - Significativo | El cociente de colocación local es igual o menor que 1 con un valor P menor que 0,05. |
![]() | 3 | Aislado - No significativo | El cociente de colocación local es igual o menor que 1 con un valor P superior a 0,05. |
![]() | 4 | No definido | La entidad no tenía otras entidades dentro de su vecindario o el ancho de banda es igual a 0. |
Para el vecindario de cada entidad, el campo Neighboring Categories enumera todas las categorías encontradas dentro del vecindario especificado. El campo Neighbor Prevalence captura el número de veces que cualquier combinación de categorías vecinas aparece en los vecindarios para las otras entidades de interés. Por ejemplo, si la categoría B aparece como una categoría vecina, la Neighbor Prevalence de B es igual al número de entidades para las que B apareció como categoría vecina dividido por el número total de Entidades de entrada de interés. Esto puede ser útil para explorar la frecuencia de aparición de esta combinación (o subconjunto de la combinación) de categorías en su área de estudio. La siguiente tabla muestra que la categoría A aparece en el 100 por ciento de los vecindarios, mientras que la combinación de A y C aparece en el 20 por ciento de los vecindarios:
| Combinaciones de categoría de vecindario | Prevalencia de vecino |
|---|---|
A | 1 |
A | 1 |
A, B | 0,4 |
A, B | 0,4 |
A, C | 0,2 |
También se crea un gráfico de dispersión, al que se accede bajo las Entidades de salida en el panel Contenido, que muestra la relación entre los cocientes de colocación local y los valores P calculados. 
Recursos adicionales
- Timothy F. Leslie, & Barry J. Kronenfeld (2011). "The Colocation Quotient: A New Measure of Spatial Association Between Categorical Subsets of Points." Geographical Analysis43 (3), 306-326. doi: 10.1111/j.1538-4632.2011.00821.x
- Fahui Wang, Yujie Hu, Shuai Wang & Xiaojuan Li (2017). "Local Indicator of Colocation Quotient with a Statistical Significance Test: Examining Spatial Association of Crime and Facilities." The Professional Geographer69 (1), 22-31. doi: 10.1080/00330124.2016.1157498




