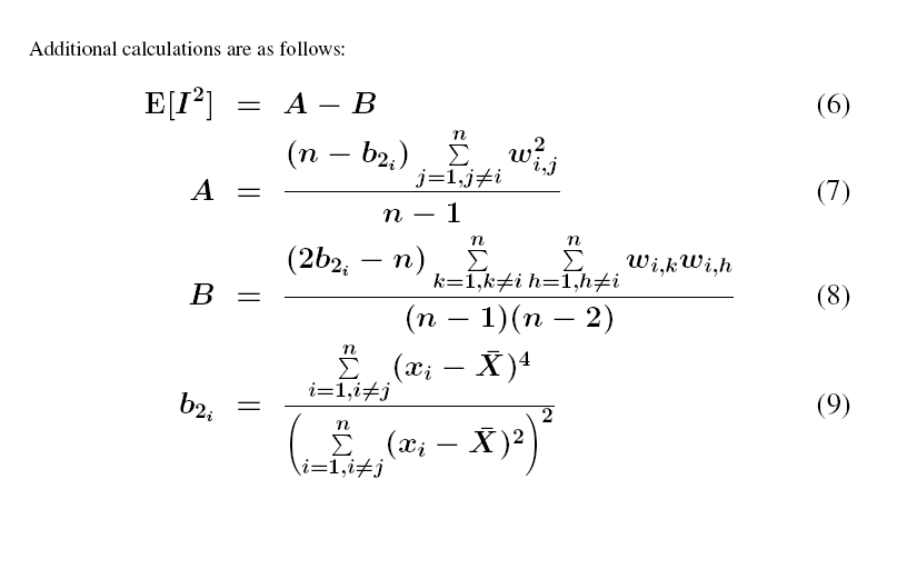
Cálculo matemático adicional I de Moran local

Cálculos matemáticos adicionales para la estadística I de Moran local