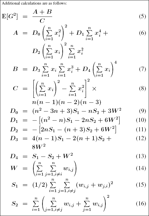
Cálculo matemático adicional de G general

Cálculos matemáticos adicionales que se utilizan para calcular la estadística G general