Disponible con una licencia de Spatial Analyst.
El transporte de solutos en un medio poroso implica dos mecanismos principales: advección y dispersión hidrodinámica. La advección describe el transporte pasivo de un soluto con el fluido que se transporta. La dispersión es la mezcla del soluto con el fluido mediante un movimiento diferencial de los fluidos hasta los espacios de los poros. Dispersión tipo puff presupone que el acuífero está mezclado en vertical, es decir, que la concentración es la misma en toda una sección vertical. Esto permite la aplicación de un modelo matemático en dos dimensiones, según lo requiere el modelo de datos ráster.
Dispersión bidimensional
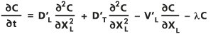
La dispersión bidimensional en un medio poroso se rige por la ecuación de advección-dispersión (Bear, 1979; Freeze y Cherry, 1979; y Marsily, 1986), escrita en términos de dirección longitudinal (en la dirección del flujo) y transversal (en perpendicular a la dirección del flujo) XL y XT, respectivamente, como:

- donde:
C: la concentración del soluto como una función de dos dimensiones espaciales y de tiempo t.
∂C/∂t: representa la derivada temporal.
D'L: los coeficientes de dispersión efectiva (retardada) en dirección longitudinal.
D'T: los coeficientes de dispersión efectiva (retardada) en dirección transversal.
λ: el coeficiente de decaimiento, que se presupone una constante para el decaimiento exponencial de primer orden.
Coeficientes de dispersión
El coeficiente de dispersión es una medición de la extensión en la que se expande el soluto en la dirección especificada:
D'i = Di/R
- donde:
R: el factor de retardo.
i: la dirección (longitudinal o transversal).
el coeficiente de dispersión está relacionado con el comportamiento del soluto en un medio determinado.
Relación entre la dispersión y el coeficiente de dispersión
Las dispersividades αL (dispersividad longitudinal) y αT (derivada del ratio de dispersividad) se relacionan con los coeficientes de dispersión mediante:
D'L = αL V' y
D'T = αT V'
donde:
V': el promedio de velocidad de retardo del puff.
XL: el desplazamiento en dirección longitudinal, paralelo a la dirección del flujo en el centroide de la masa.
XT: el desplazamiento en dirección transversal, perpendicular a la dirección del flujo en el centroide de la masa.
V'L: la velocidad retardada del soluto en dirección longitudinal.
Velocidades de transporte
En el flujo de agua subterránea:
V = q / n
- donde:
q: el flujo Darcy (descarga por área transversal).
n: la porosidad efectiva de la formación geológica.
V' = V / R
Consulte la documentación de Velocidad Darcy para obtener una explicación más detallada de las velocidades de transporte.
Dispersión gaussiana
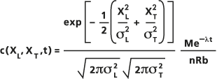
La solución aproximada de esta ecuación, usada en Dispersión tipo puff, se basa en la suposición de dispersión gaussiana de un origen de punto instantáneo en un dominio bidimensional con una concentración inicial de cero (por ejemplo, un acuífero limpio que está mezclado verticalmente) y se calcula con la siguiente ecuación:

- donde:
M: la masa de soluto que se libera de forma instantánea en el origen, en unidades de masa.
n: la porosidad del acuífero.
R: el factor de retardo.
b: el grosor del acuífero en unidades de longitud.
: la varianza de la distribución gaussiana en las direcciones longitudinal y transversal, determinada como una función de la dispersividad longitudinal y el ratio de dispersividad que proporciona, además de la longitud de la ruta de viaje del centro de la masa del soluto que se obtiene del archivo de recorrido.
A continuación se muestra la forma elíptica general de esta función de distribución gaussiana bivariante:

Existen varias limitaciones importantes y suposiciones implicadas en la solución de Dispersión tipo puff. La elipse de dispersión se centra en la masa del soluto, que se supone que se ha movido a lo largo del recorrido del flujo descrito en el archivo de entrada. La orientación de la elipse también se fija al recorrido del flujo, con la tangente del eje principal hacia el recorrido del centroide. La porosidad y el grosor, que también contribuyen a la distribución, se interpolan desde sus respectivos rásteres en el centroide, sin incorporar información de las celdas circundantes. Usted debe proporcionar el retardo, el tiempo, el coeficiente de decaimiento, la dispersión longitudinal y la relación de dispersión como constantes.
Dispersión
La dispersión es un parámetro que controla la dispersión de un soluto en un medio poroso y se especifica en unidades de longitud. En el modelo Dispersión tipo puff, la dispersividad se utiliza para calcular la varianza
de la ecuación de dispersión gaussiana anterior, según:
y
La naturaleza de la dispersión y los métodos para su determinación son temas de gran interés y controversia en la comunidad del modelado de agua subterránea, y no existe una manera mundialmente reconocida de calcular sus valores. Dispone de una explicación sobre dispersividades de varias formaciones geológicas en Gelhar et al. (1992).
El siguiente gráfico resume una variedad de datos de literatura publicada y relaciona la dispersión longitudinal con la escala del problema de interés, es decir, la distancia desde la ubicación de origen hasta el punto de observación.

La línea sólida (la línea central) en el gráfico representa el valor predeterminado para la dispersión longitudinal que calcula la herramienta Dispersión tipo puff.
La línea se crea desde un ajuste de regresión lineal de
a L que resulta en
o
, donde la longitud de la ruta de viaje L es la escala de observación.También se muestran las estadísticas de esta regresión. Las líneas exteriores de puntos se encuentran en
y
para su comparación.
Este cálculo predeterminado se debe utilizar como guía solamente, debido a que algunos investigadores no están de acuerdo con el uso de un ajuste tan universal. Para cualquier escala o sitio en particular, las dispersiones válidas pueden tener más de dos órdenes de magnitud, con los cálculos más confiables presentando una tendencia hacia los valores más bajos. En lugar de utilizar el valor predeterminado, que no tiene una base teórica, debe realizar varias simulaciones utilizando un rango de dispersiones. Si se tiene en cuenta a un conjunto de resultados, esto puede ser más válido que utilizar los resultados de una simulación.
Algunas advertencias similares se aplican a la estimación de la relación de dispersiones longitudinales a transversales que se presenta en la siguiente figura. Estos valores generalmente se relacionan con una relación simple, aunque nuevamente, debe experimentar con un rango de valores.
Comparación de dispersividades

El ratio de dispersividad predeterminado
se indica mediante la línea continua (la línea de centro) de la siguiente imagen. Las líneas de puntos (las líneas exteriores) se encuentran en
y
para su comparación.
Valores de porosidad efectiva y transmisividad
Gelhar et al incluye valores para la porosidad y transmitividad efectiva en la tabulación. En Freeze y Cherry (1979) y Marsily (1986) se pueden encontrar tablas para estos valores.
Retardo
El retardo es la relación entre la velocidad del fluido que se transporta y la velocidad del soluto, y se expresa como un número entre uno y el infinito, sin unidades. Un retardo de dos significa que el soluto migra por el medio poroso a la mitad de la velocidad de filtración. Un rastreador ideal no experimenta ninguna adsorción y viaja en la solución con el fluido. Un soluto con esas características tiene un retardo de uno, es decir, se mueve a la misma velocidad que el fluido que se transporta.
Este fenómeno es el resultado de la adsorción y desorción del componente en la matriz porosa, especialmente en las capas orgánicas de las paredes de los poros. La ecuación de retardo se presenta en una discusión de Freeze y Cherry (1979) como:

donde:
: la densidad en masa de la matriz.n: la porosidad de la formación.
Kd: el coeficiente de distribución, que representa la partición debido a la adsorción rápida y reversible de un soluto entre fases líquida y sólida, suponiendo una isoterma lineal.
Marsily (1986) también analiza el factor de retardo y la adsorción en detalle.
Realizar un modelado de advección-dispersión
Es posible utilizar las herramientas Flujo Darcy, Recorrido de una partícula y Dispersión tipo puff para realizar modelos rudimentarios de advección-dispersión de los constituyentes de las aguas subterráneas. Flujo Darcy genera un campo de velocidad de flujo de aguas subterráneas a partir de datos geológicos; Recorrido de una partícula sigue la ruta de advección a lo largo del campo de flujo desde un origen de punto; y Dispersión tipo puff calcula la dispersión hidrodinámica de una liberación de punto instantánea de un constituyente según sufre la advección a lo largo de la ruta del flujo.
En Tauxe (1994) se presenta un análisis completo del modelado de advección-dispersión utilizando estas herramientas.
La secuencia típica para modelar aguas subterráneas es realizar Flujo Darcy, después Recorrido de una partícula y, luego, Dispersión tipo puff.
Ejemplos
- Un ejemplo del cuadro de diálogo de la herramienta Dispersión tipo puff emplea:
Archivo de recorridos de partículas de entrada: ttrack.txt
Ráster de porosidad de formación efectiva de entrada: poros
Ráster de grosor saturado de entrada: thickn
Ráster de salida: ppuff1
Masa: 3.2e7
Tiempo de dispersión: 50000
Dispersividad longitudinal: 6
Ratio de dispersividad: 3
Factor de retardo: 1
Coeficiente de decaimiento: 250
- Ejemplo de uso de Dispersión tipo puff en Álgebra de mapas:
outPPuff1 = PorousPuff(ttrack.txt, poros, thickn, 1000000, 0.01, 10, 1.5, 1.0, 500)
- Secuencia de expresiones de álgebra de mapas que involucra el conjunto de herramientas del modelado de agua subterránea:
out_vol = DarcyFlow(head, poros, thickn, transm, dir1, mag1) ParticleTrack(dir1, mag1, ttrack.txt, 500, 650, "#", "#", track_feat.shp) out_puff = PorousPuff(ttrack.txt, poros, thickn, 3.2e7, 50000, 6, 3, 1, 250)
Referencias
Bear, J. 1979, Hydraulics of Groundwater. McGraw–Hill.
Freeze, R. A., and J. A. Cherry. 1979. Groundwater. Prentice-Hall.
Gelhar, L. W., C. Welty, and K. R. Rehfeldt. 1992. "A Critical Review of Data on Field-Scale Dispersion in Aquifers". Water Resources Research 28 (7): 1955–1974.
Marsily, G. de. 1986. Quantitative Hydrogeology. Academic Press.
Tauxe, J. D. 1994. "Porous Medium Advection–Dispersion Modeling in a Geographic Information System". Tesis doctoral, Universidad de Texas, Austin.