Available with Spatial Analyst license.
Summary
Defines a fuzzy membership function where the larger input values have membership closer to 1. The function is defined by a user-specified midpoint (which is assigned a membership of 0.5) with a defined spread.
Discussion
The tool that uses the FuzzyLarge object: FuzzyMembership.
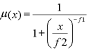
The equation for the fuzzy Large function is:

The inputs to the equation are f1, the spread, and f2, the midpoint. Increasing the spread causes the fuzzy membership curve to become steeper.
The Large function is useful when the large input values have a higher membership.
The input values can be either integer or floating point positive values.

Syntax
FuzzyLarge (midpoint, spread)
| Parameter | Explanation | Data Type |
midpoint | The user-defined value with a fuzzy membership of 0.5. The default is the midpoint of the range of values of the input raster. | Double |
spread | Defines the spread of the Large function. The spread generally ranges from 1 to 10, with the larger the value results in a steeper distribution from the midpoint. (The default value is 5) | Double |
Properties
| Property | Explanation | Data Type |
| midpoint (Read and Write) | The user-defined value defining the midpoint for the membership function. | Double |
| spread (Read and Write) | Defines the spread of the membership function. The larger the value results in a steeper distribution from the midpoint. | Double |
Code sample
Demonstrates how to create a FuzzyLarge class and use it in the FuzzyMembership tool within the Python window.
import arcpy
from arcpy.sa import *
from arcpy import env
env.workspace = "c:/sapyexamples/data"
outFzyMember = FuzzyMembership("as_std", FuzzyLarge(12, 5))
outFzyMember.save("c:/sapyexamples/fzymemb")Performs a FuzzyMembership using the FuzzyLarge class.
# Name: FuzzyLarge_Ex_02.py
# Description: Scales input raster data into values ranging from zero to one
# indicating the strength of a membership in a set.
# Requirements: Spatial Analyst Extension
# Import system modules
import arcpy
from arcpy import env
from arcpy.sa import *
# Set environment settings
env.workspace = "C:/sapyexamples/data"
# Set local variables
inRaster = "as_std"
# Create the FuzzyLarge algorithm object
midpoint = 15
spread = 5
myFuzzyAlgorithm = FuzzyLarge(midpoint, spread)
# Execute FuzzyMembership
outFuzzyMember = FuzzyMembership(inRaster, myFuzzyAlgorithm)
# Save the output
outFuzzyMember.save("c:/sapyexamples/fzylarge")