| Label | Explanation | Data Type |
Input Table
| The input table or feature class containing the fields to be transformed. The newly transformed fields are added to the input table. | Table View; Raster Layer; Mosaic Layer |
Field to Transform
| The fields containing the values to be transformed. For each field, an output field name can be specified. If no output field name is provided, the tool creates an output field name using the field name and transformation method. | Value Table |
Transformation Method
(Optional) | Specifies the method that will be used to transform the values contained in the specified fields.
| String |
Power
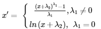
(Optional) | The power parameter ( λ1) of the Box-Cox and inverse Box-Cox transformations. For the Box-Cox transformation, if no value is provided, an optimal value will be determined using maximum likelihood estimation (MLE). For the inverse Box-Cox transformation, a value must be provided. | Double |
Shift
(Optional) | The value that will be used to shift the data (a constant value is added). No shift is applied if 0 is specified. For log, Box-Cox, and square root transformations, a default shift value will be added before the transformation if there are negative or zero values. For exponential (inverse log), inverse Box-Cox, and square (inverse square root) transformations, no shift is applied by default. If a shift value is provided, the value is subtracted after the transformation is applied. This allows you to use the same shift value for transformations and their associated inverses. | Double |
Derived Output
| Label | Explanation | Data Type |
| Updated Input Table | The updated table containing the transformed fields. | Table View |


