Kenntnisse über die verschiedenen Terrain-Eigenschaften sind für viele Anwendungen wichtig, angefangen bei hydrologischen Untersuchungen bis hin zur Bewertung der Erdrutschanfälligkeit. Bei einer dieser Anwendungen wird das Terrain in Landformen klassifiziert. Bei einer Landform handelt es sich um eine natürliche Terrain-Form wie Gipfel und Täler.
Unter den verschiedenen Techniken zur Terrain-Klassifizierung gibt es die Geomorphon-Methode (Jasiewicz und Stepiski, 2013), mit der Landformen basierend auf Terrain-Daten mithilfe von Höhenunterschieden und Sichtbarkeitskonzepten ermittelt werden. Das Werkzeug Geomorphon-Landformen wendet diese Konzepte an, um ein eindeutiges Muster zu ermitteln, das eine Terrain-Fläche darstellt.
Mit der Geomorphon-Methode lassen sich insgesamt 498 eindeutige Muster ermitteln. Einige Geomorphone beschreiben Landformen, die in der natürlichen Umgebung nicht vorkommen, während andere den gleichen Landformtyp beschreiben. Somit gibt es eine Viele-zu-eins-Übereinstimmung zwischen Geomorphonen und Landformtypen. Sobald das Geomorphon ermittelt wurde, kann es mithilfe einer Lookup-Tabelle einer Landform zugeordnet werden.
Logik des Werkzeugs "Geomorphon-Landformen"
Das Werkzeug Geomorphon-Landformen verwendet die Geomorphon-Methode zum Klassifizieren von Terrain in Landformen.
Mit dem Werkzeug werden für alle Zellen im Eingabe-Raster die folgenden Vorgänge ausgeführt:
- Festlegen des Analysebereichs. Damit wird der Analysebereich mithilfe der Parameter Suchentfernung und Sprungentfernung festgelegt.
- Abrufen des Geomorphon-Musters mithilfe des Local Ternary Pattern (LTP). Zur Ermittlung des Local Ternary Pattern (LTP) für alle acht Himmelsrichtungen wird eine Sichtbarkeitslinie verlängert und basierend auf dem Nadir- und dem Zenitwinkel klassifiziert.
- Umwandlung des LTP in eine Zahl zur Basis 3, mit der das eindeutige Muster oder Geomorphon erfasst wird. Speichern dieses Wertes für die Zielzelle.
- Zuordnen des Geomorphon-Musters zu einer der zehn häufigsten Landformen mithilfe einer Lookup-Tabelle.
Jeder dieser Schritte wird in den folgenden Abschnitten ausführlicher erläutert.
Festlegen des Analysebereichs zum Berechnen des Geomorphon-Musters
Der Analysebereich für das Werkzeug ist die Terrain-Fläche, die zum Berechnen des Geomorphon-Musters einer Zielzelle verwendet wird. Mit diesem Bereich wird festgelegt, welche benachbarten Zellen vom Werkzeug zum Ermitteln des Geomorphon-Musters verwendet werden.
Der Analysebereich wird mithilfe der Parameter Suchentfernung und Sprungentfernung festgelegt. Mit dem Parameter Suchentfernung wird die Ausdehnung der abgedeckten Fläche festgelegt. Mit dem Parameter Sprungentfernung wird festgelegt, welche Fläche der unmittelbaren Umgebung der Zielzelle von der Klassifizierung ausgeschlossen wird. In der folgenden Abbildung ist ein Beispiel für den Analysebereich dargestellt, der durch eine Suchentfernung von 3 Zellen und eine Sprungentfernung von 1 Zelle definiert ist. Welche Zellen verarbeitet werden, wird durch den Vergleich der Entfernung zwischen den einzelnen Zellenmittelpunkten und der Zielzelle und dem Wert für die Suchentfernung festgelegt. Wenn der Wert der Suchentfernung größer ist, wird die Zelle bei der Verarbeitung einbezogen.

Wenn für die Suchentfernung größere Werte angegeben werden, wird das umliegende Terrain möglicherweise generalisiert. Mit kleineren Werten werden dagegen mehr Details im Ergebnis erfasst. Durch Erhöhen des Wertes für die Sprungentfernung kann das Rauschen von Zellen in der Nähe reduziert werden, die möglicherweise falsche Höhenwerte darstellen oder keine zusätzlichen Informationen in Bezug auf den Höhenunterschied liefern.
Mit diesen beiden Parametern können auch Terrain-Features in Abhängigkeit von ihrer Größe ermittelt werden. Hierzu werden für diese Parameter Werte festgelegt, die dem entsprechen, was klassifiziert werden soll. Für das Festlegen dieser Parameter gelten die folgenden allgemeinen Richtlinien:
- Verwenden Sie das 50- bis 100-Fache der Größe der Eingabezelle als Wert für den Parameter Suchentfernung, um breite oder große Terrain-Features, wie etwa Flüsse, zu ermitteln. Zwar können bei der Ermittlung breiter oder großer Terrain-Features auch kleine Features erkannt werden, aber je nach dem Wert des Parameters Sprungentfernung werden diese möglicherweise nicht erkannt. Daher wird empfohlen, einen Parameter nach dem anderen zu verändern, um für jeden den optimalen Wert zu finden.
- Verwenden Sie das 5- bis 15-Fache der Größe der Eingabezelle, um schmale oder kleine Terrain-Features, wie etwa schmale Wasserläufe, zu ermitteln.
- Verwenden Sie kleinere Werte, um sehr schmale Terrain-Features wie Bergrücken zu ermitteln.
Abrufen des Geomorphon-Musters
Nachdem der Analysebereich festgelegt wurde, wird im nächsten Schritt das Geomorphon-Muster basierend auf dem Local Ternary Pattern (LTP) berechnet.
Ermitteln des Local Ternary Pattern mithilfe des Zenit- und des Nadirwinkels
Zunächst entspricht das LTP der Zuweisung eines Wertes von 0, 1 oder –1 zu den acht Himmelsrichtungen. Der Wert, der einer bestimmten Richtung zugewiesen wird, wird durch die Differenz zwischen dem Zenit- und dem Nadirwinkel bestimmt.
Der Zenitwinkel Z ist der Winkel zwischen der Zenitrichtung (direkt über dem Horizont) und der Sichtbarkeitslinie, die bis zur Grenze des Analysebereichs entlang der zu analysierenden Richtung verläuft. Diese Linie stellt dar, was von der Zielzelle aus gesehen werden kann.
Der Nadirwinkel N wird auf ähnliche Weise definiert. Er entspricht dem Winkel zwischen der Nadirrichtung (direkt unter dem Horizont) und einer hypothetischen Sichtbarkeitslinie, die wiederum der niedrigsten Erhebung innerhalb der Fläche bis zur Grenze des Analysegebiets folgt.
In Abbildung 2 sind das Höhenprofil des analysierten Terrains in einer Richtung (z. B. Norden) und alle Winkel, die durch die jeweilige Sichtbarkeitslinie definiert werden, dargestellt.

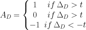
Nachdem die beiden Winkel bestimmt wurden, wird der Winkelgrenzwert für flaches Terrain verwendet, um den LTP-Wert zu bestimmen, der der zu analysierenden Richtung zuzuweisen ist. Der mathematische Ausdruck lautet wie folgt:

Dabei gilt:
- AD ist der Wert, der der zu analysierenden Richtung zugewiesen wird.
- ΔD ist die Differenz zwischen dem Nadir- und dem Zenitwinkel Z und N.
- t ist der Winkelgrenzwert für flaches Terrain.
Der Winkelgrenzwert für flaches Terrain ist ein Wert in Grad, mit dem eine Grenze für das Terrain festgelegt werden kann, das als flach klassifiziert wird. Wenn wie in Abbildung 2 für einen Winkelgrenzwert für flaches Terrain 1 (t = 1 Grad) festgelegt wird, so wird der zu analysierenden Richtung der Wert 1 zugewiesen, da 90° – 45° = 45° > 1°.
Dieser Vorgang wird in jeder Himmelsrichtung im Uhrzeigersinn wiederholt.
Erstellen des Geomorphon-Musters für die Zielzelle
Nachdem jeder der acht Richtungen ein Wert zugewiesen wurde, wird das Ergebnis zu einem 8-Tupel (8 Elemente) verkettet, das in der Zielzelle gespeichert wird. Ein Beispiel für ein 8-Tuple: (0, –1, 0, 1, 0, 0, 1, 1). Zur leichteren Speicherung wird das Tupel in eine ternäre (Basis 3) Zahl umgewandelt. Das Ergebnis daraus ist das Geomorphon-Muster.
Die Gesamtzahl der möglichen Geomorphon-Muster beträgt 6561 (38). Viele davon sind das Ergebnis von Drehungen oder Spiegelungen anderer Muster, sodass sich die Gesamtzahl auf 498 reduzieren lässt.
Zuordnen eines Geomorphon-Musters zu einem Landformtyp
Das Tool verwendet die Lookup-Tabelle, um einem bestimmten Landformtyp ein Geomorphon-Muster zuzuordnen und folgt dabei den von Jasiewicz und Stepinski (2013) dargelegten Argumenten. In der Tabelle ist einem Geomorphon-Muster eine der zehn gängigsten Landformen zugeordnet.

Einer bestimmten Landform können mehrere verschiedene Geomorphon-Muster zugeordnet werden, wenn deren Definition geringfügig abweicht. Die zulässige Abweichung ist eine notwendige Voraussetzung für die Erstellung der Lookup-Tabelle.

Nur den Landformtypen "Gipfel" und "Mulde" wird ein eindeutiges Geomorphon-Muster zugeordnet. Für den Landformtyp "Gipfel" (–1, –1, –1, –1, –1, –1, –1, –1, –1) sind im Wesentlichen alle um die Zielzelle liegenden Zellen niedriger. Entsprechend sind für den Landformtyp "Mulde" (1, 1, 1, 1, 1, 1, 1, 1) im Wesentlichen alle um die Zielzelle liegenden Zellen höher.
Endgültige Landformen- und Geomorphon-Raster-Ergebnisse
Im letzten Schritt wird das Ergebnis der Zuordnung im Parameterwert für Ausgabe-Landformen-Raster gespeichert. Das Geomorphon-Muster ist eine optionale Ausgabe, die für weitere Analysen oder Diagnosen verwendet werden kann.
Referenzen
Jasiewicz, Juroslav und Tomasz F. Stepinski. 2013. "Geomorphons - a pattern recognition approach to classification and mapping of landforms." Geomorphology Band 182, Januar 15, S. 147–56. https://doi.org/10.1016/j.geomorph.2012.11.005