Schätzt den Trend für jedes Pixel entlang einer Dimension für eine oder mehrere Variablen in einem multidimensionalen Raster.
Hinweise
Zu den unterstützten multidimensionalen Raster-Datasets gehören solche im Cloud-Raster-Format (CRF), multidimensionale Mosaik-Datasets oder multidimensionale Raster-Layer, die von netCDF-, GRIB- oder HDF-Dateien generiert werden.
Mit diesem Werkzeug können Daten entlang einer linearen, harmonischen oder polynomischen Trendlinie angepasst werden. Das Werkzeug kann auch zur Trenderkennung mittels Mann-Kendall-Test oder saisonalem Kendall-Test verwendet werden.
Das mit dieser Funktion generierte Ausgabe-Trend-Raster wird als Eingabe für die Funktion Mit Trend vorhersagen verwendet.
Mit dem Mann-Kendall-Test und dem saisonalen Kendall-Test werden die Daten auf einen monotonen Trend untersucht. Sie sind nichtparametrisch, d. h. es wird keine spezifische Verteilung der Daten angenommen. Beim Mann-Kendall-Test werden serielle Korrelation oder saisonale Effekte nicht berücksichtigt. Bei Saisonalität der Daten ist der saisonale Kendall-Test besser geeignet.
Wenn das Werkzeug zur Durchführung des Mann-Kendall-Tests oder des saisonalen Kendall-Tests verwendet wird, ist die Ausgabe ein Fünfband-Raster. Hierbei gilt:
- Band 1 = Sen-Steigung
- Band 2 = p-Wert
- Band 3 = Mann-Kendall-Wert (S)
- Band 4 = S-Varianz
- Band 5 = Z-Wert
Anhand der Ausgaben des Mann-Kendall-Tests oder des saisonalen Kendall-Tests kann ermittelt werden, welche Pixel in Ihrer multidimensionalen Zeitserie einen statistisch signifikanten Trend aufweisen. Sie können diese Informationen in Verbindung mit der linearen, harmonischen oder polynomischen Trendanalyse verwenden, um signifikante Trends in der Zeitserie zu extrahieren. Sie können eine Maske generieren, die Pixel mit signifikanten p-Werten enthält, die Maske auf das multidimensionale Raster anwenden und dieses maskierte multidimensionale Raster als Eingabe für das Werkzeug verwenden, um lineare, harmonische oder polynomische Trendanalysen durchzuführen.
Es gibt drei Möglichkeiten der Anpassung eines Trends an die Variablenwerte entlang einer Dimension: linear, polynomisch und harmonisch. Diese drei Anpassungsoptionen für Trends werden nachfolgend beschrieben.

In der linearen Trendanalyse enthält die Ausgabe ein Dreiband-Raster, für das Folgendes gilt:
- Band 1 = Neigung
- Band 2 = Schnittpunkt
- Band 3 = RMS-Fehler (Root Mean Square, quadratisches Mittel) oder Fehler um die am besten passende Linie herum
In der polynomischen Trendanalyse hängt die Anzahl an Bändern in der Ausgabe von der Polynom-Ordnung ab. Bei der Polynomanpassung zweiter Ordnung entsteht ein Vierband-Raster. Hierbei gilt:
- Band 1 = Polynomial_2
- Band 2 = Polynomial_1
- Band 3 = Polynomial_0
- Band 4 = RMSE
Bei der Polynomanpassung dritter Ordnung entsteht ein Fünfband-Raster. Hierbei gilt:
- Band 1 = Polynomial_3
- Band 2 = Polynomial_2
- Band 3 = Polynomial_1
- Band 4 = Polynomial_0
- Band 5 = RMSE
In der harmonischen Trendanalyse hängt die Anzahl an Bändern in der Ausgabe von der harmonischen Frequenz ab. Bei der Frequenz 1 ist die Ausgabe ein Fünfband-Raster. Hierbei gilt:
- Band 1 = Neigung
- Band 2 = Schnittpunkt
- Band 3 = Harmonic_sin1
- Band 4 = Harmonic_cos1
- Band 5 = RMSE
Bei der Frequenz 2 ist die Ausgabe ein Siebenband-Raster. Hierbei gilt:
- Band 1 = Neigung
- Band 2 = Schnittpunkt
- Band 3 = Harmonic_sin1
- Band 4 = Harmonic_cos1
- Band 5 = Harmonic_sin2
- Band 6 = Harmonic_cos2
- Band 7 = RMSE
Mit dem Parameter Zykluslänge für die harmonische Trendanalyse wird die Anzahl und Länge der Zyklen angegeben, die Sie für die Daten in einem Tag oder Jahr erwarten. Wenn Sie beispielsweise für Ihre Daten zwei Variationszyklen pro Jahr erwarten, beträgt die Zykluslänge 182,5 Tage bzw. 0,5 Jahre. Wenn alle drei Stunden eine Erfassung von Temperaturdaten erfolgt und pro Tag ein Variationszyklus vorliegt, beträgt die Zykluslänge einen Tag.
Mit dem Parameter Häufigkeit für die harmonische Trendanalyse wird das harmonische Modell beschrieben, das an die Daten angepasst wird. Wird die Häufigkeit auf 1 festgelegt, wird eine Kombination aus linearer Kurve und harmonischer Kurve der ersten Ordnung für die Anpassung des Modells verwendet. Beträgt die Häufigkeit 2, wird eine Kombination aus linearer Kurve, harmonischer Kurve der ersten Ordnung und harmonischer Kurve der zweiten Ordnung für die Anpassung des Modells verwendet. Beträgt die Häufigkeit 3, wird zusätzlich eine harmonische Kurve der dritten Ordnung für die Modellierung der Daten verwendet und so weiter und so fort.
Modellstatistiken zur Qualität der Übereinstimmung können als optionale Ausgabe generiert werden. Der RMS-Fehler (Root Mean Square, quadratisches Mittel), R-Squared und der Trend für den p-Wert der Neigung können berechnet und symbolisiert werden. Symbolisieren Sie den Ausgabe-Trend-Raster-Layer mit der Symbolisierung RGB, und geben Sie die Statistiken als rote, grüne und blaue Bänder an.
Parameter
| Parameter | Beschreibung |
|---|---|
Raster | Das als Eingabe verwendete multidimensionale Raster. |
Dimensionsname | Die Dimension, für die anhand der in der Analyse ausgewählte(n) Variable(n) Trenddaten gewonnen werden sollen. |
Trendtyp | Gibt den Linientyp für die Anpassung an die Pixelwerte in einer Dimension an.
|
Harmonische Frequenz | Die für die Trendanpassung verwendete Frequenz. Dieser Parameter gibt die Frequenz als Zyklen pro Jahr an. Der Standardwert ist 1, das entspricht einem harmonischen Zyklus pro Jahr. Dieser Parameter ist nur bei harmonischer Regression in der Trendanalyse enthalten. |
Zykluslänge | Die Länge der zu modellierenden periodischen Variation. Die Einheit ist stets Tage; die Zeiteinheit der Eingabedaten ist unerheblich. Der Grünanteil bei Blättern beispielsweise weist pro Jahr einen starken Variationszyklus auf, sodass die Zykluslänge 365,25 beträgt, obwohl die Eingabedaten als monatlich erfasster Grünanteil vorliegen. Stündlich erfasste Temperaturdaten weisen pro Tag einen starken Variationszyklus auf, sodass die Zykluslänge 1 beträgt. Für Daten, die eine Variation auf Grundlage eines Jahreszyklus aufweisen, beträgt die Standardlänge 365,25 Tage. |
Zykluseinheit | Gibt die Zeiteinheit für die Länge eines harmonischen Zyklus an.
|
Polynom-Ordnung | Die für die Trendanpassung verwendete Polynom-Ordnung. Dieser Parameter gibt die Polynom-Ordnung an. Der Standardwert ist 2, das entspricht einem Polynom zweiter Ordnung. Dieser Parameter ist nur bei polynomischer Regression in der Trendanalyse enthalten. |
NoData ignorieren | Gibt an, ob NoData-Werte bei der Analyse ignoriert werden.
|
RMSE | Gibt an, ob der RMS-Fehler (Root Mean Square, quadratisches Mittel) der angepassten Trendlinie erstellt wird.
|
R-Squared | Gibt an, ob für die angepasste Trendlinie eine Statistik zur Qualität der Übereinstimmung von R-Squared erstellt wird.
|
P-Wert des Neigungskoeffizienten | Gibt an, ob die p-Wertstatistik für den Neigungskoeffizienten der Trendlinie berechnet wird.
|
Saisonaler Zeitraum | Gibt an, welche Zeiteinheit bei Durchführung des saisonalen Kendall-Tests für die Länge des saisonalen Zeitraums verwendet wird.
|
Regressionstypen
Die Regressionsgleichung für jede Trendoption ist nachfolgend aufgeführt.
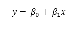
- Linear: Die lineare Trendlinie ist eine am besten passende gerade Linie, die zur Schätzung einfacher linearer Beziehungen verwendet wird. Ein linearer Trend kennzeichnet eine gleichbleibende Veränderung nach oben oder unten. Die Formel für lineare Trendlinien lautet wie folgt:

- y = Variablenwert des Pixels
- x = Dimensionswert
- ß0 = y-Schnittpunkt
- ß1 = lineare Neigung oder Änderungsrate
ß1 > 0 weist auf einen zunehmenden Trend hin.
ß1 < 0 weist auf einen abnehmenden Trend hin.
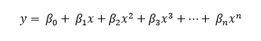
- Polynomisch: Die polynomische Trendlinie ist eine geschwungene Linie, die gut zur Darstellung von Daten mit stärkerer Fluktuation geeignet ist. In diesem Fall wird die maximale Anzahl der auftretenden Fluktuationen durch eine Polynom-Ordnung angegeben. Die Formel für polynomische Trendlinien lautet wie folgt:

- y = Variablenwert des Pixels
- x = Dimensionswert
- ß0, ß1, ß2, ß3, ... ßn = konstante Koeffizienten
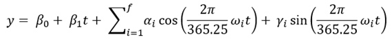
- Harmonisch: Die harmonische Trendlinie ist eine sich periodisch wiederholende geschwungene Linie; mit ihr lassen sich Daten beschreiben, die einem Zyklus folgen, z. B. saisonal bedingte Temperaturänderungen. Die Formel für harmonische Trendlinien lautet wie folgt:

- y = Variablenwert des Pixels
- t = Datum nach Julianischem Kalender
- ß0 = y-Schnittpunkt
- ß1 = Veränderungsrate
- α, γ = Koeffizienten der Veränderungen innerhalb eines Jahres oder jahresübergreifend
- ω = i
- f = harmonische Frequenz