Das Werkzeug Raum-Zeit-Kerndichte erweitert Kerndichteberechnungen von der Analyse der relativen Position und Magnitude der Eingabe-Features um andere Dimensionen wie Zeit und Tiefe (Höhe). Der Ausgabe ist die Größe (Magnitude) pro Flächeneinheit zu entnehmen, wobei mithilfe verschiedener Kernfunktionen an jeden Eingabepunkt eine geglättete Oberfläche mit abgeschrägten Kanten angepasst wird.
Vergleich mit anderen Werkzeugen für die Dichte
Die Dichteanalyse ist der Schlüssel zu einer Reihe von räumlichen Analysen und geostatistischen Analysen. Hier einige Beispiele:
- Demografische Studien
- Forschung zu Konzentration, Exposition und Resilienz
- Politische Entscheidungsfindung zur Ermittlung des Bedarfs an bestimmten Services an einem bestimmten Ort oder in einer bestimmten Gemeinde, wie z. B. Gesundheitseinrichtungen, Notfalldienste, Infrastruktur und Straßennetze
Es stehen weitere Werkzeuge zur Berechnung der Dichte zur Verfügung, darunter Kerndichte, Punktdichte und Liniendichte. Diese Werkzeuge berechnen die Dichte der Features (Punkte oder Linien) in der Umgebung von Features. Sie berücksichtigen jedoch keine anderen Dimensionen.
Das Werkzeug Raum-Zeit-Kerndichte analysiert die Dichte von Ereignissen oder Vorfällen, die sich sowohl über den Raum als auch über die Zeit erstrecken, und kann auch die Höhe berücksichtigen. Durch die Einbeziehung von Höhe und Zeit in die Gleichung erweitert das Werkzeug das Verständnis der räumlichen und zeitlichen Verteilungen sowie der Muster und Trends des betrachteten Phänomens.
Hauptvorteile der Raum-Zeit-Kerndichte
Das Werkzeug Raum-Zeit-Kerndichte kombiniert die Konzepte der Kerndichte-Schätzung mit der zeitlichen Analyse, um ein umfassendes Verständnis von Mustern zu ermöglichen. Zu den Vorteilen, die dieses Werkzeug gegenüber anderen Formen der Dichteschätzung bietet, gehören folgende:
- Gleichzeitiges Analysieren der sowohl räumlichen als auch zeitlichen Dimensionen von Ereignissen in verschiedenen Höhen. Dies ermöglicht ein ganzheitlicheres Verständnis der Muster und hilft bei der Identifizierung von Gebieten mit hohen oder niedrigen Konzentrationen von Ereignissen im Laufe der Zeit und raum- und höhenübergreifend.
- Berücksichtigen des zeitlichen Aspekts, um zu analysieren, wie sich die Ereignisdichte im Laufe der Zeit verändert. Dies ist besonders nützlich für die Untersuchung dynamischer Phänomene, wie z. B. Kriminalitätsmuster, Krankheitsausbrüche oder Verkehrsströme.
- Berücksichtigen des Höhen- und Zeitaspekts. So können Sie analysieren, wie sich die Ereignisdichte im Laufe der Zeit auf verschiedenen Höhenlagen verändert. Dies ist besonders nützlich für die Untersuchung dynamischer geowissenschaftlicher Phänomene, wie z. B. Luftdruck, Ozondichte, Schadstoffe, Luft- und Wasserzusammensetzung, Salzgehalt des Wassers, gelöster Sauerstoffgehalt, Wasserleitfähigkeit, Wasserdruck und Temperatur.
- Flexibilität bei der Auswahl der Parameter, einschließlich der Wahl des Kerntyps, des Suchradius (Bandbreite), der Höhe und der Zeiteinheit. So können Sie die Analyse auf spezifische Bedürfnisse und Datenmerkmale abstimmen, was zu genaueren und aussagekräftigeren Ergebnissen führt.
- Nutzen der vorhandenen Möglichkeiten von ArcGIS AllSource zur Analyse und Visualisierung von Daten multidimensionaler Raster und Vorhandensein verschiedener Visualisierungsoptionen mit dem Esri Cloud Raster Format (CRF) für multidimensionale Daten als Standard-Ausgabe-Raster. Dies ist besonders vorteilhaft, um bestimmte Dimensionen zu isolieren oder um Hotspots, Trends und Muster in den Daten über Raum und Zeit hinweg zu visualisieren und zu identifizieren, was eine bessere Entscheidungsfindung und ein besseres Verständnis der räumlich-zeitlichen Beziehungen ermöglicht.
Dieses Werkzeug bietet ein differenzierteres Verständnis von Ereignismustern. Es kann in verschiedenen Bereichen eingesetzt werden, z. B. in der Kriminalitätsanalyse, der Kartierung von Krankheiten, der Verkehrsplanung, der Umweltüberwachung, der Ozeanografie und der Atmosphärenforschung. Seine Fähigkeit, sowohl Raum als auch Zeit zu analysieren, macht es zu einem vielseitigen Werkzeug für das Verständnis komplexer Phänomene. Seine spezifischen Vorteile und seine Eignung können jedoch je nach Art der Daten und der Analyseziele variieren.
Berechnung der "Raum-Zeit-Kerndichte"
Das Werkzeug Raum-Zeit-Kerndichte verwendet Punkt-Features mit Höhen- und Zeitdaten, um die Kerndichte von Punkt-Features um jede Ausgabe-Raster-Zelle herum zu berechnen.
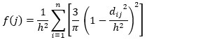
Prinzipiell wird eine sanft geschwungene Oberfläche über alle Punkte gelegt. Die Technik ähnelt der Funktionsweise des Werkzeugs "Kerndichte" bei der Punkteingabe. Der Oberflächenwert an der Position des Punktes ist am höchsten und nimmt mit zunehmender Entfernung von der Punktposition ab, wobei er bei dem Wert des Parameters Suchradius in der Entfernung vom Punkt Null erreicht. Da der Eingabedaten-Typ "Punkt" lautet, ist nur eine kreisförmige Umgebung möglich. Das Volumen unter der Oberfläche entspricht dem Wert des Parameters Feld mit Grundgesamtheit für den Punkt, oder 1, wenn NONE angegeben ist. Die Dichte von jeder Ausgabe-Raster-Zelle wird berechnet, indem die Werte aller Kernel-Oberflächen hinzugefügt werden, wo sie den Raster-Zellenmittelpunkt überlagern. Die Kernel-Funktion basiert auf der in Silverman (1986, S. 76, Gleichung 4.5) beschriebenen Quartic-Kernel-Funktion.
Die Formel lautet wie folgt:

Wobei gilt:
- i = 1,…,n stellen die Eingabe-Punkte dar.
- f(j) ist die Dichte im Zentrum jeder Zelle.
- dij ist die Entfernung zwischen dem Ereignispunkt und dem Zentrum der Zelle.
- h ist der Suchradius.
Wenn eine andere Parametereinstellung als NONE für das Feld mit Grundgesamtheit verwendet wird, bestimmt der Wert jedes Elements, wie oft der Punkt gezählt wird. Der Wert 3 z. B. bewirkt, dass der Punkt als drei Punkte gezählt wird. Die Werte können Ganzzahl- oder Gleitkommawerte sein.
Standardmäßig wird eine Einheit auf Grundlage der linearen Einheit der Projektionsdefinition von den Eingabe-Punkt-Feature-Daten oder wie sonst in der Umgebungseinstellung für das Ausgabe-Koordinatensystem angegeben ausgewählt.
Wenn ein Ausgabe-Parameterfaktor für Flächeneinheiten ausgewählt ist, wird die berechnete Dichte für die Zelle mit dem entsprechenden Faktor multipliziert, bevor sie in das Ausgabe-Raster geschrieben wird. Beispiel: Wenn die Eingabeeinheiten Meter sind, wird für die Ausgabeflächeneinheiten standardmäßig Quadratkilometer verwendet. Der Vergleich eines Einheitenmaßstabsfaktors für Meter mit Kilometer führt im Endergebnis dazu, dass die Werte um einen Multiplikator von 1.000.000 (1.000 Meter x 1.000 Meter) abweichen.
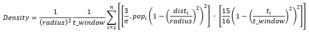
Vorhersage der Dichte für eine Position
Die vorhergesagte Dichte an einer neuen Position (XY) wird durch die folgende Formel bestimmt:

Wobei gilt:
- i = 1,…,n stellen die Eingabe-Punkte dar. Nehmen Sie für disti < radius nur Punkte in die Summe auf, die sich innerhalb der Radiusentfernung von der Position (XY) befinden.
- popi ist der Wert des Feldes mit der Grundgesamtheit von Punkt i. Dies ist ein optionaler Parameter.
- disti ist der Abstand zwischen dem Punkt i und der Position (XY).
- radius ist der definierte Suchradius um die Position (XY).
Die berechnete Dichte wird dann mit der Anzahl von Punkten oder der Summe des Feldes mit der Grundgesamtheit multipliziert, falls ein solches angegeben wurde. Diese Korrektur sorgt dafür, dass das räumliche Integral der Anzahl von Punkten (oder der Summe bzw. dem Feld mit der Grundgesamtheit) entspricht und nicht immer gleich 1 ist. Bei dieser Implementierung wird ein Quartic-Kernel verwendet (Silverman, 1986). Die Formel wird für jede Position berechnet, deren Dichte geschätzt werden soll. Da ein Raster erstellt wird, werden die Berechnungen auf die Mitte jeder Zelle im Ausgabe-Raster angewendet.
Zeit und Höhe
Dichte kann im Zeitverlauf oder höhenübergreifend bzw. im Zeitverlauf und höhenübergreifend berechnet werden. Verwenden Sie die zeitliche Dimension, um Muster und Trends im Zeitverlauf innerhalb eines festgelegten Zeitbereichs zu analysieren. Verwenden Sie die Höhendimension, um den Einfluss der Topografie auf die Verteilung von Ereignissen zu berücksichtigen.
Die folgenden Abschnitte enthalten weitere Informationen zu den Parametern dieser Dimensionen und den verwendeten Formeln.
Kerndichte im Zeitverlauf über XY-Punkte
Um die Zeitdimension in die Berechnung dieses Werkzeugs einzubeziehen, müssen Sie die Startzeit, die Endzeit und das Zeitintervall festlegen.
Der Parameter Startzeit gibt den Beginn des Zeitraums an, für den Sie die Dichte berechnen möchten. Es kann ein bestimmtes Datum (z. B. 31.12.2023), eine Uhrzeit (15:45:45) oder Datum und Uhrzeit (31.12.2023 15:45:45) sein. Die Startzeit legt die untere Grenze des Suchzeitfensters (t_window) für die Berechnung fest.
Der Parameter Endzeit gibt das Ende des Zeitraums an, für den Sie die Dichte berechnen möchten. Ähnlich wie bei der Startzeit kann es sich um ein bestimmtes Datum und eine bestimmte Uhrzeit oder um ein Datum und eine Uhrzeit zusammen handeln. Die Endzeit legt die obere Grenze des Suchzeitfensters (t_window) für die Berechnung fest.
Der Parameter Zeitintervall gibt die Granularität der in der Analyse verwendeten Zeitintervalle an. Er gibt die Länge der einzelnen Zeitintervalle an, z. B. 1 Stunde, 1 Tag oder 1 Monat. Das Zeitintervall unterteilt die Zeitspanne zwischen der Start- und der Endzeit in kleinere Segmente für die Dichteberechnung. Die Intervalleinheit kann Sekunde, Minute, Stunde, Tag oder Woche sein.
Auf der Grundlage der angegebenen Startzeit, Endzeit und des Zeitintervalls berechnet das Werkzeug die Dichte der Ereignisse innerhalb jedes Zeitintervalls und über die angegebene Zeitspanne. Indem das Werkzeug die Zeitspanne zwischen der Startzeit und der Endzeit in kleinere Segmente unterteilt, die auf dem angegebenen Zeitintervall basieren, berechnet es die Dichte der Ereignisse innerhalb jedes Zeitintervalls. Dies ermöglicht eine detailliertere Analyse, wie sich die Ereignisdichte im Laufe der Zeit verändert. Wenn das Zeitintervall beispielsweise auf 1 Stunde eingestellt ist und die Zeitspanne von 9:00 Uhr bis 17:00 Uhr reicht, berechnet das Werkzeug die Dichte der Ereignisse innerhalb jeder Stunde (9:00–10:00 Uhr, 10:00–11:00 Uhr usw.), um Einblicke in die zeitlichen Muster des Auftretens von Ereignissen zu geben.
Für die Berechnung der Kerndichte im Zeitverlauf über XY-Punkte werden ein räumlicher Kern k(x,y) und ein zeitlicher Kern k(t) verwendet. Daraus ergibt sich die folgende Formel für die Kerndichte im Zeitverlauf:

Wobei gilt:
- Nehmen Sie für disti < radius nur Punkte in die Summe auf, die sich innerhalb der Radiusentfernung von der Position (XY) befinden.
- Nehmen Sie für ti < t_window die Zeit nur in die Berechnung auf, wenn sie im Suchzeitfenster liegt.
- popi ist der Wert des Feldes mit der Grundgesamtheit von Punkt i. Dies ist ein optionaler Parameter.
- disti ist der Abstand zwischen dem Punkt i und der Position (XY).
- radius ist der definierte Suchradius um die Position (XY).
- ti ist die Zeit im jeweiligen berechneten Intervall im Zeitfenster (t_window).
- t_window ist das Suchzeitfenster.
Kerndichte für verschiedene Höhen über XY
Die Höhenparameter werden verwendet, um die Dichte von Ereignissen oder Phänomenen zu analysieren, die sowohl im Raum als auch in der Höhe auftreten. Das Werkzeug berücksichtigt sowohl die räumliche Position der Ereignisse als auch die Höhe, in der sie auftreten. Um die Höhendimension in diesem Werkzeug zu berechnen, müssen Sie drei Parameter angeben: minimale Höhe, maximale Höhe und Höhenintervall.
Der Parameter Minimale Höhe gibt den niedrigsten Höhenwert innerhalb des Höhenbereichs an, den Sie bei der Dichteberechnung berücksichtigen möchten. Er legt die untere Grenze des Höhenbereichs für die Analyse fest.
Der Parameter Maximale Höhe gibt den höchsten Höhenwert innerhalb des Höhenbereichs an, den Sie bei der Dichteberechnung berücksichtigen möchten. Ähnlich wie bei der minimalen Höhe wird hiermit die obere Grenze des Höhenbereichs für die Analyse festgelegt.
Der Parameter Höhenintervall gibt die Granularität der in der Analyse verwendeten Höhenintervalle an. Er gibt die Länge jedes Höhenintervalls an, z. B. 100 Meter, 500 Meter oder 1 Kilometer. Das Höhenintervall unterteilt den Höhenbereich zwischen der minimalen und maximalen Höhe in kleinere Segmente für die Dichteberechnung.
Wenn Sie die minimale Höhe, die maximale Höhe und das Höhenintervall angeben, berechnet das Werkzeug die Dichte der Ereignisse innerhalb jedes Höhenintervalls und für den gesamten angegebenen Höhenbereich.
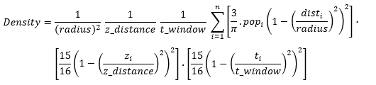
Für die höhenübergreifende Berechnung der Kerndichte über XY-Punkte werden ein räumlicher Kern k(x,y) und ein Höhenkern k(z) verwendet. Daraus ergibt sich die folgende Formel für die Kerndichte im Zeitverlauf:

Wobei gilt:
- Nehmen Sie für disti < radius nur Punkte in die Summe auf, die sich innerhalb der Radiusentfernung von der Position (XY) befinden.
- Nehmen Sie für zi < z_distance nur Höhenpunkte in die Berechnung auf, wenn sie sich im Suchradius für die Höhe befinden.
- popi ist der Wert des Feldes mit der Grundgesamtheit von Punkt i. Dies ist ein optionaler Parameter.
- disti ist der Abstand zwischen dem Punkt i und der Position (XY).
- radius ist der definierte Suchradius um die Position (XY).
- zi ist die Höhe im jeweiligen berechneten Intervall im Höhenfenster.
- z_distance ist der Suchradius für die Höhe.
Kerndichte für verschiedene Höhen und Zeiten über XY
Bei der Analyse der Kerndichte kann sowohl die Höhen- als auch die zeitliche Dimension berücksichtigt werden. Dazu müssen Sie sechs Parameter angeben: minimale Höhe, maximale Höhe, Höhenintervall, Startzeit, Endzeit und Zeitintervall.
Für die Berechnung der Kerndichte für verschiedene Höhen und Zeiten über XY-Punkte wird die folgende Formel verwendet:

Wobei gilt:
- Nehmen Sie für disti < radius nur Punkte in die Summe auf, die sich innerhalb der Radiusentfernung von der Position (XY) befinden.
- Nehmen Sie für zi < z_distance nur Höhenpunkte in die Berechnung auf, wenn sie sich im Suchradius für die Höhe befinden.
- Nehmen Sie für ti < t_window die Zeit nur in die Berechnung auf, wenn sie im Suchzeitfenster liegt.
- popi ist der Wert des Feldes mit der Grundgesamtheit von Punkt i. Dies ist ein optionaler Parameter.
- disti ist der Abstand zwischen dem Punkt i und der Position (XY).
- radius ist der definierte Suchradius um die Position (XY).
- zi ist die Höhe im jeweiligen berechneten Intervall im Höhenfenster.
- z_distance ist der Suchradius für die Höhe.
- ti ist die Zeit im jeweiligen berechneten Intervall im Zeitfenster (t_window).
- t_window ist das Suchzeitfenster.
Suchfensterparameter
Der Suchradius (oder die Bandbreite, wie sie im Werkzeug Kerndichte genannt wird) bestimmt das Ausmaß oder die Reichweite des Einflusses, den jedes Ereignis auf die Dichteberechnung hat. Er spielt eine entscheidende Rolle bei der Festlegung des räumlichen und zeitlichen Umfangs der Analyse. Weitere Informationen erhalten Sie unter Standardsuchradius (Bandbreite) in der Hilfe zum Werkzeug Kerndichte.
Im Werkzeug Raum-Zeit-Kerndichte können Sie den Suchradius separat für drei Arten von Dimensionen angeben: (x, y), Höhe (z) und Zeit (t).
Suchradius für X und Y
Der Parameter Suchradius (x und y) gibt die Entfernung an, innerhalb derer Ereignisse die Dichteberechnung in den X- und Y-Dimensionen beeinflussen. Der Suchradius kann in der gleichen Einheit wie die Eingabedaten oder in Einheiten wie Meter, Kilometer oder Grad angegeben werden.
Die Angabe eines größeren Suchradius führt zu einer glatteren Dichteoberfläche, da Ereignisse, die weiter von einem bestimmten Ort entfernt sind, einen größeren Einfluss auf dessen Dichtewert haben.
Suchradius für Höhe
Der Parameter Suchradius (z) gibt die vertikale Entfernung an, innerhalb derer Ereignisse die Dichteberechnung in der Höhendimension beeinflussen. Er kann in Einheiten wie Meter oder Fuß angegeben werden oder er kann die Höheneinheiten der Eingabedaten verwenden.
Ähnlich wie beim X- und Y-Suchradius führt ein größerer Höhensuchradius zu einer glatteren Dichteoberfläche, da Ereignisse, die eine höhere vertikale Entfernung von einem bestimmten Ort aufweisen, einen größeren Einfluss auf dessen Dichtewert haben.
Suchradius für Zeit
Der Parameter Suchzeitfenster (t) definiert die zeitliche Ausdehnung, innerhalb derer Ereignisse die Dichteberechnung beeinflussen. Er kann in Einheiten wie Stunden, Tagen oder Monaten angegeben werden. Das Zeitfenster legt eine Dauer für jedes Ereignis fest, und Ereignisse, die innerhalb dieser Dauer auftreten, tragen zur Berechnung der Dichte an einem bestimmten Ort und zu einer bestimmten Zeit bei.
Details und Glätte des Ergebnisses
Indem Sie die Werte für den Suchradius auf der Registerkarte "Kernparameter" anpassen, können Sie den Detailgrad und die Glätte der resultierenden Dichteoberfläche steuern. Ein kleinerer Suchradius bzw. eine geringere Bandbreite erfasst mehr lokalisierte Muster, während ein größerer Suchradius bzw. eine größere Bandbreite breitere Trends und Muster erfassen kann.
Die Auswahl eines geeigneten Suchradius- oder Bandbreitenwertes erfordert eine sorgfältige Abwägung der Eigenschaften der Daten und der Analyseziele. Das Experimentieren mit verschiedenen Werten und die Auswertung der sich ergebenden Dichteoberflächen kann Ihnen helfen, die geeignetsten Parameter für Ihre spezifische Analyse zu finden.
Suchradiusberechnung
Der zum Bestimmen des Standardsuchradius verwendete Algorithmus arbeitet folgendermaßen:
- Der Mittelpunkt der Eingabepunkte wird berechnet. Wenn ein Feld mit Grundgesamtheit bereitgestellt wurde, wird in dieser und allen folgenden Berechnungen nach den Werten in diesem Feld gewichtet.
- Für alle Punkte wird die Entfernung vom gewichteten Mittelwert für Mittelpunkte berechnet.
- Der (gewichtete) Medianwert dieser Entfernungen (Dm) wird berechnet.
- Die gewichtete Standardentfernung (SD) wird berechnet.
Hinweis:
Informationen zur Berechnung der Standardentfernung finden Sie unter Funktionsweise von "Standardentfernung" in der Hilfe zur Toolbox "Spatial Statistics".
Der Standardsuchradius für (x,y) wird durch die folgende Formel ermittelt:

Wobei gilt:
- SD ist die Standardentfernung.
- Dm ist der (gewichtete) Medianwert für die Entfernung vom (gewichteten) Mittelpunkt.
- n ist die Anzahl der Punkte, wenn kein Parameterwert für Feld mit Grundgesamtheit angegeben wird. Wenn der Parameterwert Feld mit Grundgesamtheit verwendet wird, ist n die Summe der Feldwerte.
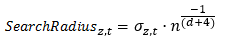
Der Standardsuchradius für Höhe (z_distance) und Zeitfenster (t_window) wird durch die folgende Formel ermittelt:

Wobei gilt:
- σz,t ist die Standardabweichung in der Punktverteilung der z- und t-Dimensionen.
- n ist die Anzahl der Punkte, wenn kein Parameterwert für Feld mit Grundgesamtheit angegeben wird. Wenn der Parameterwert Feld mit Grundgesamtheit verwendet wird, ist n die Summe der Feldwerte.
- d ist die Analysedimension. Der Standardwert ist 1.
Berechnung der Standardentfernung
Es gibt zwei Möglichkeiten zum Berechnen der Standardentfernung: ungewichtet und gewichtet.
Die ungewichtete Entfernung wird durch die folgende Formel ermittelt:

Wobei gilt:
- xi,yi und zi sind die Koordinaten für Feature i.
- {x̄, ȳ, z̄} stellt den Mittelpunkt für die Features dar.
- n entspricht der Gesamtzahl von Features.
Die gewichtete Entfernung wird durch die folgende Formel ermittelt:

Wobei gilt:
- wi ist die Gewichtung beim Feature i.
- xi, yi und zi sind die Koordinaten für Feature i.
- {X̄w, Ȳw, Z̄w} stellt den gewichteten Mittelwert für Mittelpunkt für die Features dar.
Höhen- und Zeitintervall im multidimensionalen Raster
Die Ausgabe des Werkzeugs Raum-Zeit-Kerndichte ist ein multidimensionales Raster mit einzelnen Segmenten für jedes Höhen- und Zeitintervall. Die Gesamtzahl der Segmente im Ausgabe-Raster wird anhand der folgenden Formel berechnet, wenn sowohl Höhen- als auch Zeitangaben vorhanden sind:

Wobei gilt:
- Zmax ist die maximale Höhe.
- Zmin ist die minimale Höhe.
- Das Höhenintervall ist das Intervall zwischen Höhensegmenten in der multidimensionalen Raster-Ausgabe.
- Tmax ist die Endzeit.
- Tmin ist die Startzeit.
- Das Zeitintervall ist das Intervall zwischen Zeitsegmenten in der multidimensionalen Raster-Ausgabe.
Wenn in der Gruppe Ausgabeparameter kein Intervall für Zeit oder Höhe festgelegt wurde, beträgt die Standardanzahl der Segmente 20 für Operationen mit einer beliebigen Eingabevariablen. Für Operationen mit Höhe und Zeit beträgt die Standardanzahl an Segmenten im Ausgabe-Raster 400.
Auswirkungen planarer und geodätischer Methoden auf die Dichte
Die Berechnung der Dichte hängt von der Wahl des planaren oder geodätischen Raumbezugssystems ab.
Die Option Planar im Parameter Methode eignet sich für Analysen in einem lokalen Maßstab mit einer Projektion, bei der die korrekte Entfernung und Fläche genau beibehalten werden. Standardmäßig verwendet das Werkzeug planare Entfernungen.
Die Option Geodätisch ist geeignet, wenn die Analyse in einem regionalen oder großen Maßstab durchgeführt werden soll, z. B. bei der Verwendung mit Web Mercator oder einem beliebigen anderen geographischen Koordinatensystem. Bei dieser Methode wird die Krümmung des Sphäroids berücksichtigt, und die Daten in der Nähe der Pole und der internationalen Datumsgrenze werden richtig verarbeitet. Bei der geodätischen Methode sind die Ergebnisse immer genauer, weswegen sie die empfohlene Methode ist.
Der Unterschied zwischen planarer und geodätischer Entfernung wird proportional zur Entfernung vom Ausgangspunkt größer. Wenn Sie in einem kleinen geographischen Gebiet arbeiten, wie z. B. in einer Stadt oder einem Landkreis, ist der Unterschied zwischen planarer und geodätischer Entfernung im Verhältnis geringer, als wenn Sie in einem ganzen Land arbeiten. Durch die Größe des Untersuchungsgebiets und die Verzerrungen des Kartenprojekts zusammengenommen kann die Verzerrung weiter zunehmen. Je näher Sie bei einer Projektion wie z. B. Web Mercator an die Pole herankommen, umso kleiner ist das Gebiet, das Sie mit demselben Grad an Entfernungsverzerrung analysieren können.
Um die Unterschiede zwischen geodätischer und planarer Entfernung bei der Entfernungsberechnung zu verstehen, siehe Geodätische im Vergleich zu planarer Entfernung.
Ausgabe-Dichtetypen
Der Parameter Resultierende Werte bietet zwei Optionen zur Berechnung und Visualisierung der ausgegebenen Dichtetypen: Dichten und Erwartete Anzahl.
Bei Auswahl der Einstellung Dichten stellen die Zellenwerte im Ausgabe-Raster den berechneten Dichtewert pro Flächeneinheit dar.
Bei Auswahl von Erwartete Anzahl stellen die Werte die erwartete Ereignisanzahl pro Zellenfläche dar. Die zur Berechnung der Anzahl verwendeten Formeln lauten wie folgt:
- Mit nur dem Radius auf der XY-Ebene: Anzahl = Dichte × Fläche.
- Mit Höhe: Anzahl = Dichte × Fläche × Höhenintervall.
- Mit Zeit: Anzahl = Dichte × Fläche × Zeitintervall.
- Mit Zeit und Höhe: Anzahl = Dichte × Fläche × Höhenintervall x Zeitintervall.
Es ist wichtig zu betonen, dass diese Formeln eine konstante Dichte innerhalb der Ausgabe-Rasterzellen, des Höhenintervalls und des Zeitintervalls voraussetzen. Um zuverlässige erwartete Anzahlwerte zu generieren, sollten die Parameterwerte für die Zellengröße, das Höhenintervall und das Zeitintervall sorgfältig ausgewählt werden.
Potenzielle Anwendungsbereiche
Zu den potenziellen Anwendungsbereichen des Werkzeugs zählen:
- Verstehen der Meeresoberfläche und der Zusammensetzung des Wassers anhand der Höhe und der Zeit. Untersuchen Sie zum Beispiel die Veränderung von Parametern wie Salzgehalt, Wassertemperatur oder Gehalt an gelöstem Sauerstoff im Ozean im Laufe der Zeit.
- Verstehen atmosphärischer Bedingungen. Untersuchen Sie zum Beispiel die Dichteänderungen der PM2.5-Messwerte bei einer geographischen Einheit zu verschiedenen Tages- oder Jahreszeiten.
- Nutzen der Fähigkeit des Werkzeugs, anhand von Zeitdaten den Ausbruch von Krankheiten, die Kriminalitätsdichte oder die Obdachlosenpopulation über verschiedene Zeiträume hinweg zu verstehen.
- Analysieren der Zusammensetzung der schwebenden Luftpartikel in der Atmosphäre an verschiedenen Orten und in verschiedenen Höhenlagen. Sie können beispielsweise die Veränderungen der PM2.5-Zusammensetzung im Laufe der Zeit untersuchen, um Einblicke in die Muster der Luftverschmutzung zu erhalten und potenzielle Verschmutzungsquellen zu identifizieren.
Zusätzliche Quellen
Härdle, W. K., Müller, M., Sperlich, S. und Werwatz, A. Nonparametric and semiparametric models (Band 1). Berlin: Springer, 2004.
Hu, Y., Wang, F., Guin, C. und Zhu, H. "A spatio-temporal kernel density estimation framework for predictive crime hotspot mapping and evaluation". Applied geography, 99, 2018, 89–97.
Nakaya, T. und Yano, K. "Visualising crime clusters in a space‐time cube: An exploratory data analysis approach using space time kernel density estimation and scan statistics". Transactions in GIS, 14(3), 2010, 223–239.
Silverman, B. W. Density Estimation for Statistics and Data Analysis. New York: Chapman and Hall, 1986.