Mit der Spatial Analyst-Lizenz verfügbar.
Ein Dendrogramm ist ein Diagramm, das die Attributentfernungen zwischen jedem Paar sequentiell zusammengeführter Klassen anzeigt. Um zu vermeiden, dass Linien geschnitten werden, wird das Diagramm grafisch so dargestellt, dass Elemente jedes zusammenzuführenden Klassenpaares Nachbarn im Diagramm sind.
Das Werkzeug Dendrogramm verwendet einen Algorithmus für die hierarchische Cluster-Bildung. Das Programm berechnet zuerst die Entfernungen zwischen jedem Klassenpaar in der Eingabe-Signaturdatei. Dann werden jeweils die nächsten Klassenpaare iterativ zusammengeführt, bis alle Klassen zusammengeführt sind. Nach jeder Zusammenführung werden die Entfernungen zwischen allen Klassenpaaren aktualisiert. Die Entfernungen, mit denen die Klassensignaturen zusammengeführt werden, werden zum Erstellen eines Dendrogramms verwendet.
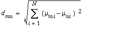
Wenn die Option Varianz in den Entfernungsberechnungen verwenden deaktiviert ist (MEAN_ONLY in Python), wird die Entfernung dmn zwischen einem Klassenpaar m und n als Entfernung zwischen ihren Mittelwerten gemessen:

Dabei gilt:
m und n: Die IDs der Klassen
i: Eine Layer-Nummer
µ: Ein Mittelwert der Klasse m oder n in Layer i
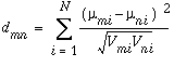
Wenn die Varianzoption aktiviert wird (VARIANCE in Python), misst das Werkzeug Dendrogramm Entfernungen zwischen Klassenpaaren auf Grundlage ihres Mittelwerts und der Varianzen anhand der folgenden Formel:

Dabie gilt: V ist eine Varianz einer Klasse m oder n in Layer i.
Die neuen Statistiken (Mittelwert und Varianzen), die die zusammengeführte Klasse beschreiben, basieren auf dem ursprünglichen Mittelwert und der Varianz der Beispiele, die die zusammengeführte Klasse umfassen. Daher wird die zusammengeführte Klasse mit dem zusammengefassten Mittelwert und der zusammengefassten Varianz erzeugt. Die beiden Signaturen, mit denen die zusammengeführte Klasse erstellt wird, werden durch eine einzelne Signatur der kombinierten Klasse ersetzt. Die neue mittlere Signatur wird auf Grundlage der Positionen im mehrdimensionalen Attributraum aller Elementzellen der zusammengeführten Klasse berechnet. Die neue Signatur behält die niedrigere Anzahl der zwei Eingabeklassen der zusammengeführten Klassen-ID bei.
Die Wertebenen, oder die Entfernungen, bei denen jedes Klassenpaar zusammengeführt wird, können mit den Maßstabsleisten des Dendrogrammdiagramms interpoliert werden. Aufgrund der Einschränkung der Größe eines Zeichens (die grobe Auflösung der Grafik) werden die Ebenen der Zusammenführung zur Anzeige gerundet. Die präzisen Werte der Zusammenführungsebenen werden jedoch in der mit dem Dendogramm verknüpften Tabelle als DISTANCE angegeben.
Varianzen, nicht Kovarianzen, werden zur Entfernungsberechnung verwendet, nachdem ein Klassenpaar zusammengeführt wurde. Der von Dendrogramm verwendete Algorithmus bestimmt die Entfernung zwischen Klassen nicht mithilfe der Mahalanobis-Entfernung. Daher passen die Entfernungen zwischen Klassen und den zusammengeführten Klassen möglicherweise nicht zu den Ergebnissen jener Gitterwerkzeuge, die auf Mahalanobis-Entfernung basieren, z. B. Signaturen bearbeiten, Maximum-Likelihood-Klassifizierung und Klassenwahrscheinlichkeit.
Mithilfe des Dendogramms kann die statistische Fehlklassifikation in der Analyse reduziert werden, indem die erforderlichen Informationen zum Kombinieren oder Separieren von Datenklassen bereitgestellt werden. Liegen die Klassen in Ihrer Analyse statistisch gesehen zu dicht aneinander (d. h. wenn es schwierig werden kann, die beiden Klassen statistisch zu unterscheiden), kann es zu einer Fehlklassifikation kommen. In diesem Fall sollten Sie erwägen, die Klassen zusammenzuführen. Es gibt keine festen Regeln, die vorgeben, in welchem Fall Klassen zusammenzuführen sind und in welchem nicht. Wann sollten Klassen zusammengeführt werden? Diese Entscheidung ist von der Heterogenität des Untersuchungsgebiets und der Daten, der Anzahl der Klassen, in die Sie die Daten unterteilen möchten, und von der Zielsetzung abhängig. Wenn Sie beispielsweise über ein ausgesprochen heterogenes Untersuchungsgebiet verfügen, haben Sie die Möglichkeit, zahlreiche einzelne, separate Klassen zu erstellen, sodass ein Zusammenführen der Klassen möglicherweise nicht notwendig ist. Eine andere denkbare Situation ist, dass Ihre Daten relativ homogen sind, und Sie versuchen, sie in zu viele Klassen zu unterteilen. In diesem Fall liegen die Klassen möglicherweise statistisch zu eng aneinander, sodass das Zusammenführen einiger Klassen sinnvoll sein kann.
Wenn Ihre Analyse keine detaillierten Klassen erfordert, sollten Sie die Klassen in allgemeinere Kategorien zusammenführen, um die Gefahr einer Fehlklassifikation zu minimieren Das Dendrogramm identifiziert die Klassen, die sich statistisch am ähnlichsten sind. Es liegt jedoch an Ihnen, basierend auf Ihrem Wissen zum Untersuchungsgebiet und Ihren Zielen, zu entscheiden, ob das Zusammenführen von Klassen angebracht ist.
Zum Beispiel kann das Zusammenführen von zwei Klassen sinnvoll sein, wenn Sie eine Klasse als allgemeines Feuchtgebiet und eine andere als Moorgebiet festgelegt haben. Die Statistikdaten, die sich aus den Trainingsgebieten ableiten lassen, sind für beide Klassen recht ähnlich. In dem sich ergebenden Dendogramm liegen daher beide Klassen eng nebeneinander. Sofern es Ihnen lediglich darum geht, Gebiete mit hoher Feuchtigkeit zu identifizieren, sollten Sie die Moorgebiete mit der Klasse für allgemeine Feuchtgebiete zusammenführen.
Das Dendogramm identifiziert nicht nur diejenigen Klassen, die potenziell zusammengeführt werden können, sondern weist auch auf Situationen hin, in denen das Hinzufügen von Klassen von Vorteil sein kann. Liegen etwa zwei Klassen statistisch gesehen weit auseinander, können Sie weitere Klassen hinzufügen, um die Klassifizierung zu verfeinern. Angenommen, Sie haben eine Klasse für Feldfrüchte und eine andere Klasse für Gras festgelegt. In dem sich ergebenden Dendogramm liegen diese beiden Klassen möglicherweise weit auseinander. Nehmen wir weiter an, Sie verfügen über ein Multiband-Raster mit hoher Auflösung. Wenn Sie nun die landwirtschaftliche Ausgabe für das Gebiet analysieren, können Sie aufgrund der höheren Datenauflösung die Klassen für Feldfrüchte und für Gras weiter in Klassen für bestimmte Ertragstypen unterteilen.
Beispiel
Im folgenden Beispiel sind die Klassen 3 und 5 die nächsten Nachbarn im Attributraum, daher werden sie bei 3,443 zusammengeführt. Dieser Wert gibt den relativen Grad der Ähnlichkeit an, der auch als Entfernung im mehrdimensionalen Raum angesehen werden kann. Die beiden Klassen werden zusammengeführt und als eine Klasse behandelt. Die Statistiken für die zusammengeführte Klasse und die Entfernungen von der zusammengeführten Klasse zu den anderen Klassen werden berechnet. Dann werden die beiden nächstgelegenen Klassen identifiziert. Die zwei Kandidaten sind die Klassen 4 und 6. Die Entfernung zwischen ihnen beträgt 3,609, und sie werden zusammengeführt. Der Prozess wiederholt sich. Alle Klassen werden sequenziell zu größeren Klassen zusammengeführt, bis alle Klassen zu einer einzelnen Klasse zusammengeführt wurden.
- Im Dialogfeld des Werkzeugs Dendrogramm verwendete Einstellungen:
Eingabe-Signaturdatei: isoclust12.gsg
Ausgabedatei des Dendrogramms: isodendro.txt
Varianz in den Entfernungsberechnungen verwenden: {Standard}
Linienbreite des Dendrogramms: 78
Die Ausgabedatei des Dendrogramms sähe wie folgt aus:
Distances between pairs of combined classes (in the sequence of merging):
Remaining Merged Between-Class
Class Class Distance
----------------------------------
3 5 3.442680
4 6 3.608904
7 9 3.899360
2 7 3.795288
3 4 4.883098
2 8 6.073256
1 3 6.257798
1 2 9.350019
----------------------------------
Dendrogram of /discb/topdir/myspace/isoclust12.gsg
C DISTANCE
L
A
S 0 1.0 2.1 3.1 4.1 5.2 6.2 7.2 8.3 9.3
S |-------|-------|-------|-------|-------|-------|-------|-------|------
5 -------------------------|
|----------|
3 -------------------------| |
|----------|
6 ---------------------------| | |
|--------| |-------------------|
4 ---------------------------| | |
| |
1 -----------------------------------------------| |
|-
9 -----------------------------| |
| |
7 ---------------------------------------------| |
| | |
2 ------------------------------| |---------------------|
|
8 ---------------------------------------------|
|-------|-------|-------|-------|-------|-------|-------|-------|------
0 1.0 2.1 3.1 4.1 5.2 6.2 7.2 8.3 9.3