Mit Scatterplots visualisieren Sie die Beziehung zwischen zwei numerischen Variablen, von denen eine Variable auf der X-Achse und die andere auf der Y-Achse angezeigt wird. Für jeden Datensatz wird ein Punkt dargestellt, an dem sich die beiden Variablen im Diagramm überschneiden. Wenn die resultierenden Punkte eine nicht zufällige Struktur bilden, besteht zwischen den beiden Variablen eine Beziehung.
Variablen
Scatterplots bestehen aus zwei Zahlen, eine für die X-Achse und eine für die Y-Achse. Darüber hinaus kann eine dritte numerische Variable angegeben werden, um die Größe der einzelnen Punkte im Plot proportional festzulegen.
Hinweis:
Um die Performance zu verbessern, wird die visuelle Aggregation angewendet, wenn ein Scatterplot mit mehr als 200.000 Punkten erstellt wird. In diesem Fall werden die Punkte des Scatterplots in einem 250 x 250 großen Raster zusammengefasst, und in jeder Zelle wird maximal ein Punkt angezeigt. Wenn die visuelle Aggregation angewendet wird, sind die Steuerelemente Anzeigefeld für QuickInfo und Proportional deaktiviert.
Mehrere Reihen
Sie können Scatterplots mit mehreren Reihen anzeigen, indem Sie ein Unterteilen nach-Kategoriefeld festlegen. Beispielsweise kann in einem Dataset mit Verbrechensfällen ein CrimeType-Feld verwendet werden, um die Daten in mehrere Reihen zu unterteilen. Die Tabelle "Reihe" wird mit den einzelnen Verbrechenstypen (beispielsweise Theft, Vandalism und Arson) ausgefüllt, und das resultierende Diagramm zeigt drei Scatterplot-Reihen an.
Anzeigen mehrerer Reihen
Um einen Scatterplot mit mehreren Reihen zu konfigurieren, verwenden Sie die Option Mehrere Reihen anzeigen als auf der Registerkarte Reihe im Bereich Diagrammeigenschaften. Mit der Option Einzelnes Diagramm werden standardmäßig mehrere Reihen angezeigt. Bei dieser Darstellung werden alle Reihen im gleichen Plot-Bereich gezeichnet, aber jeder Reihe wird eine eindeutige Farbe zugewiesen, um Vergleiche zwischen verschiedenen Gruppen zu ermöglichen.
Sie können einen Scatterplot mit mehreren Reihen ebenfalls als Rasterdiagramm (auch als kleine Mehrfachdiagramme bezeichnet) anzeigen. Wählen Sie dazu die Option Raster aus. Mit dieser Option wird eine Matrix kleinerer Diagramme angezeigt, in der jedes Mini-Diagramm nur Daten für eine einzelne Reihe enthält. Rasterdiagramme sind hilfreich, um Trends und Muster zwischen verschiedenen Untergruppen in den Daten zu vergleichen. Sie können die Bemaßungen eines Rasterdiagramms anpassen, indem Sie den numerischen Wert Mini-Diagramme pro Zeile festlegen. Lautet die Eingabe für Mini-Diagramme pro Zeile beispielsweise 3, werden maximal drei Diagramme pro Zeile angezeigt. Die Gesamtzahl der Zeilen im Raster wird durch die Anzahl der Reihen im Diagramm bestimmt. Wenn Sie das Kontrollkästchen Diagrammvorschau anzeigen aktivieren, können Sie jedes Mini-Diagramm dynamisch genauer erkunden. Wählen Sie hierzu ein Mini-Diagramm aus, und zeigen Sie es in einem größeren Vorschaudiagramm an.

Reihenstatistiken
Wenn ein Scatterplot mit mehreren Reihen mit der Option Gitternetz konfiguriert wird, können über die Dropdown-Liste Anzeige auf der Registerkarte Reihen die Minidiagramme als Scatterplots, R-Squared oder r nach Pearson angezeigt werden. Wenn die Option R-Squared oder r nach Pearson ausgewählt ist, zeigen die Minidiagramme den statistischen Wert an und der Hintergrund spiegelt den in der Dropdown-Liste Farbschema angegebenen Farbverlauf wider, der der Stärke des Wertes entspricht. Verwenden Sie die Dropdown-Listen Sortieren nach und Sortierrichtung, um die Minidiagramme alphabetisch, manuell oder nach einem statistischen Wert zu ordnen.
Wenn Minidiagramme so konfiguriert sind, dass sie R²- oder r nach Pearson-Werte anzeigen, können durch Aktivieren des Kontrollkästchens p-Wert anzeigen p-Wert-Indikatoren für jede Reihe angezeigt werden. Die folgenden Indikatoren werden zur Darstellung der drei Signifikanzschwellenwerte verwendet:
- ***: Der p-Wert ist kleiner als 0,001.
- **: Der p-Wert ist kleiner als 0,01.
- *: Der p-Wert ist kleiner als 0,05.
Wenn der p-Wert für eine Reihe gleich oder größer als 0,05 ist, wird kein p-Wert-Indikator im Minidiagramm angezeigt.
Hinweis:
Die t-Verteilung dient zum Berechnen von p-Werten.
Anzeigefeld für QuickInfo
Mit dem Dropdown-Menü Anzeigefeld für QuickInfo kann festgelegt werden, dass in der QuickInfo Werte eines bestimmten Feldes für jeden Punkt im Scatterplot angezeigt werden. Wenn z. B. housing_cost im Vergleich zu crime_rate geplottet wird, kann es hilfreich sein, neighborhood als Anzeigefeld für QuickInfo auszuwählen, damit der Name des Stadtviertels angezeigt wird, wenn Sie mit dem Mauszeiger auf einen Punkt zeigen.
Statistiken
Es wird eine Regressionsgleichung berechnet, und die zugehörige Trendlinie wird in Scatterplots dargestellt. Die Trendlinie modelliert die Beziehung zwischen den beiden Variablen. Es sind lineare (Linear) wie auch nicht lineare Trendlinienoptionen (Exponential, Logarithmic, Power und Polynomial) verfügbar. Der R²-Wert quantifiziert die Anpassungsgüte der Daten für das Modell. Bei nicht linearen Modellen ist dies jedoch mit Vorbehalt zu betrachten, da bei der R²-Berechnung von Linearität ausgegangen wird. Um die Trendlinie zu deaktivieren, deaktivieren Sie das Kontrollkästchen Trendlinie anzeigen im Bereich Diagrammeigenschaften, oder aktivieren bzw. deaktivieren Sie die Sichtbarkeit, indem Sie auf das Element in der Legende klicken. Um die Farbe der Trendlinie zu ändern, klicken Sie auf die Farbpalette für Trendlinien im Bereich Diagrammeigenschaften und wählen eine neue Farbe aus.
Weitere Informationen zur Regressionsanalyse
Hinweis:
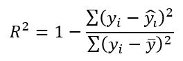
In Diagrammen wird zur Berechnung von R² die folgende Formel verwendet:

Dabei ist
der tatsächliche Wert,
der vorhergesagte Wert und
der Mittelwert aller tatsächlichen Werte.
Korrelation
Wenn in linearen Trends kleine X-Werte kleinen Y-Werten und große X-Werte großen Y-Werten entsprechen (nach oben geneigte Linie), gibt dies eine positive Korrelation an. Wenn kleine X-Werte großen Y-Werten und große X-Werte kleinen Y-Werten entsprechen (nach unten geneigte Linie), gibt dies eine negative Korrelation an.
Hinweis:
Eine Korrelation zwischen X und Y impliziert nicht, dass Y durch X verursacht wird.
Symbol
Mehrere Optionen steuern die Symbolisierung des Diagramms und die zugehörigen Einstellungen.
Style
Scatterplot-Punkte verwenden standardmäßig Layer-Farben und übernehmen die Umrisslinie und Füllfarben aus der Symbolisierung des Quell-Layers. Wenn ein Layer mit einem anderen Attribut als einer der Scatterplot-Variablen symbolisiert wird, kann eine weitere Dimension in der Visualisierung des Scatterplots angezeigt werden.
Styles für Punkte können auf der Registerkarte Reihe im Bereich Diagrammeigenschaften konfiguriert werden, indem in der Tabelle "Reihe" auf das Symbol-Farbmuster geklickt wird. Verwenden Sie das Pop-up-Fenster, um den Style, die Größe, Farbe und Transparenz für Punktsymbole zu konfigurieren.
Proportionale Größe
Verwenden Sie die Dropdown-Liste Proportional, um die Größe der Scatterplot-Punkte proportional nach einem numerischen Attribut festzulegen. Durch die proportionale Festlegung der Größe von Scatterplot-Punkten basierend auf einer dritten numerischen Variablen wird die Visualisierung um eine andere Dimension erweitert, und es entsteht ein Blasen-Plot, wie in der folgenden Abbildung gezeigt:

Achsen
Mehrere Optionen steuern die Achsen und die zugehörigen Einstellungen.
Achsengrenzen
Die Standardgrenzen für das Minimum und das Maximum der Achse basieren auf dem Bereich der Datenwerte auf der Achse. Diese Werte können durch Angabe eines neuen Wertes für die Achsengrenze angepasst werden. Durch Klicken auf die Schaltfläche "Zurücksetzen" wird die Grenze der Achse auf den Standardwert zurückgesetzt.
Logarithmische Achse
Die Achsen des Scatterplots werden standardmäßig mit linearer Skala dargestellt. Eine oder beide Achsen können auf einer logarithmischen Skala dargestellt werden, indem das Kontrollkästchen Logarithmische Achse im Abschnitt Achsen des Bereichs Diagrammeigenschaften aktiviert wird.
Logarithmische Skalen sind nützlich, wenn Daten mit einer großen positiven Schiefe visualisiert werden sollen, wobei die Mehrheit der Datenpunkte einen kleinen und einige wenige Datenpunkte einen sehr großen Wert aufweisen. Durch die Änderung des Maßstabs der Achse wird der Wert der Daten nicht geändert, lediglich dessen Anzeige.
Lineare Skalen basieren auf Addition und logarithmische Skalen auf Multiplikation.
Bei einer linearen Skala entspricht jedes Inkrement auf der Achse derselben Entfernung im Wert. Zum Beispiel entspricht im folgenden Diagramm jedes Inkrement auf der Achse einer Addition von 10.

Bei einer logarithmische Skala nehmen die Inkremente um bestimmte Magnituden zu. Im folgenden Diagramm entspricht jedes Inkrement auf der Achse einer Multiplikation mit 10.

Hinweis:
Mit logarithmischen Skalen können negative Werte und die Null nicht dargestellt werden. Wenn Sie bei einer Variablen mit negativen Werten oder Null die Achse logarithmieren, werden diese Werte im Diagramm nicht dargestellt.
Adaptive Achsengrenzen
Wenn ein Scatterplot mit mehreren Reihen mit der Option Raster angezeigt wird, können die Achsengrenzen mit den folgenden Optionen konfiguriert werden:
- Festgelegt: Die globalen Minimal- und Maximalgrenzen werden auf alle Mini-Diagramme angewendet.
- Adaptiv: Die lokalen Minimal- und Maximalgrenzen werden für jedes Mini-Diagramm angepasst.
Gitternetzintervalle
Gitternetzintervalle für die X-Achse und die Y-Achse können mit den Steuerelementen unter Intervall konfiguriert werden. Die Standardgitternetzintervalle werden automatisch berechnet.
Achse umkehren
Jede Achse eines Scatterplots kann umgekehrt werden, indem das Kontrollkästchen Achse umkehren aktiviert wird.
Zahlenformat
Sie können formatieren, wie auf einer Achse numerische Werte dargestellt werden, indem Sie eine Zahlenformatkategorie angeben oder eine benutzerdefinierte Formatzeichenfolge definieren. Beispiel: $#,### kann als benutzerdefinierte Formatzeichenfolge für die Darstellung von Werten in einer Währung verwendet werden.
Aussehen
Mehrere Optionen steuern das Aussehen des Diagramms und die zugehörigen Einstellungen.
Titel und Beschreibung
Die Standardtitel der Diagramme und Achsen basieren auf den Variablennamen und dem Diagrammtyp. Diese können auf der Registerkarte Allgemein im Bereich Diagrammeigenschaften bearbeitet werden. Sie können auch einen Wert für die Option Beschreibung angeben, wobei es sich um einen Textblock handelt, der am unteren Rand des Diagrammfensters angezeigt wird.
Führungslinien
Führungslinien oder Bereiche können als Referenz oder zum Hervorheben signifikanter Werte zu Diagrammen hinzugefügt werden. Wechseln Sie zum Hinzufügen einer neuen Führungslinie zur Registerkarte Führungslinien im Bereich Diagrammeigenschaften, und wählen Sie aus, ob Sie eine vertikale oder eine horizontale Führungslinie zeichnen möchten. Klicken Sie auf den Pfeil auf der Schaltfläche Führungslinie hinzufügen, und wählen Sie eine der folgenden Optionen aus:
- Führungslinie oder -bereich mit festen Werten erstellen: Zeichnet an einer festen Position eine Führungslinie oder einen Führungslinienbereich. Wenn diese Option ausgewählt ist, geben Sie unter Wert einen Wert an, wo die Linie gezeichnet werden soll. Um einen Bereich zu erstellen, geben Sie einen bis-Wert an.
- Datengesteuerte Führung erstellen: Zeichnet eine datengesteuerte Führungslinie. Wenn diese Option ausgewählt ist, wählen Sie in der Dropdown-Liste Wert ein Feld aus, dessen Werte zur Berechnung der Position der Führungslinie verwendet werden sollen. Wählen Sie einen Aggregationswert aus, um anzugeben, wie diese Werte zusammengefasst werden.
- Polylinien-Führungslinie erstellen: Zeichnet eine Polylinien-Führungslinie. Wenn diese Option ausgewählt ist, bearbeiten Sie die Datentabelle, um X- und Y-Werte einzugeben, mit denen bestimmt wird, wie die Führungslinie gezeichnet wird. Diese Option ist nur verfügbar, wenn beide Achsen kontinuierlich sind.
Beispiel
Im folgenden Scatterplot wird die Beziehung zwischen Diabetes und Bluthochdruck bei Medicare-Versicherten visualisiert. Wählen Sie Features im Diagramm aus, um zu ermitteln, wo sie sich auf der Karte befinden.
- X-Achse: Diabetesrate
- Y-Achse: Bluthochdruckrate
