| Beschriftung | Erläuterung | Datentyp |
Ausgabe-Feature-Class | Der Pfad und der Name der Ausgabe-Feature-Class mit dem Mosaik. | Feature Class |
Ausdehnung | Die Ausdehnung, die das Mosaik abdeckt. Hierbei kann es sich um den aktuell sichtbaren Bereich, die Ausdehnung eines Datasets oder manuell eingegebene Werte handeln.
Wenn die Koordinaten manuell eingegeben wurden, dann müssen die Koordinaten numerische Werte sein und im Koordinatensystem der aktiven Karte liegen. Die Karte kann statt der angegebenen Koordinaten auch andere Anzeigeeinheiten verwenden. Verwenden Sie für die Koordinaten in Richtung Süden und Westen Werte mit negativem Vorzeichen. | Extent |
Shape-Typ (optional) | Gibt die zu generierende Form an.
| String |
Größe (optional) | Die Fläche der einzelnen Formen, aus denen das Mosaik besteht. | Areal Unit |
Raumbezug (optional) | Der Raumbezug, in den das Ausgabe-Dataset projiziert wird. Wenn kein Raumbezug angegeben ist, wird die Ausgabe in den Raumbezug der Eingabe-Ausdehnung projiziert. Wenn auch dort kein Raumbezug angegeben ist, wird die Ausgabe in GCS_WGS_1984 projiziert. | Spatial Reference |
H3-Auflösung (optional) | Gibt die H3-Auflösung der Hexagons an. Mit jedem höheren Auflösungswert wird die Fläche der Polygone um ein Siebtel vergrößert.
Dieser Parameter ist aktiv, wenn der Parameter Shape-Typ auf H3-Hexagon eingestellt ist. | Long |
Zusammenfassung
Generiert ein Mosaik aus regelmäßigen Polygonen, um eine angegebene Ausdehnung abzudecken. Das Mosaik kann aus Dreiecken, Quadraten, Rauten, Hexagonen, H3-Hexagonen oder transversalen Hexagonen bestehen.
Abbildung

Verwendung
Um sicherzustellen, dass die gesamte Eingabe-Ausdehnung vom Mosaik abgedeckt wird, erstrecken sich die Ausgabe-Features absichtlich über die Eingabe-Ausdehnung hinaus. Grund dafür ist, dass die Kanten des Mosaiks nicht immer gerade Linien sind und sich Lücken ergäben, wenn das Raster durch die Eingabe-Ausdehnung begrenzt wäre.
Das Feld GRID_ID wird der Ausgabe hinzugefügt.
Wenn H3-Hexagon für den Parameterwert Shape-Typ verwendet wird, dienen die Feldwerte von GRID_ID als eindeutiger hierarchischer Index für jede Zelle.

Bei allen anderen Shape-Typ-Parameterwerten dient das Feld GRID_ID als eindeutige ID für jedes Feature. Das Format der IDs lautet A-1, A-2, B-1, B-2 usw. Dadurch wird eine einfache Auswahl von Zeilen und Spalten durch Abfrage mit dem Werkzeug Layer nach Attributen auswählen ermöglicht. Wählen Sie beispielsweise alle Features in der Spalte A mit GRID_ID like 'A-%' oder alle Features in Zeile 1 mit GRID_ID like '%-1' aus.
Um ein Mosaik zu generieren, das Mosaik-Features ausschließt, die keine Features in einem anderen Dataset schneiden, verwenden Sie das Werkzeug Layer lagebezogen auswählen, um Ausgabe-Polygone auszuwählen, die die Quell-Features enthalten. Verwenden Sie das Werkzeug Features kopieren, um eine dauerhafte Kopie der ausgewählten Ausgabe-Features in eine neue Feature-Class zu kopieren.
Das Werkzeug generiert Formen nach Flächeneinheiten. Zum Ermitteln der Fläche einer Form basierend auf der Länge einer Seite verwenden Sie eine der folgenden Formeln, um den Wert des Parameters Größe zu berechnen:
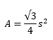
Form Formel Beispiel Hexagon oder Transversales Hexagon

Um Hexagone mit einer Seitenlänge von 100 Metern zu generieren, geben Sie als Wert für den Parameter Größe 25980,76211353316 Quadratmeter an (100 zum Quadrat multipliziert mit 3 multipliziert mit der Quadratwurzel von 3 geteilt durch 2).
Quadrat

Um Quadrate mit einer Seitenlänge von 100 Metern zu generieren, geben Sie als Wert für den Parameter Größe 10.000 Quadratmeter an (100 zum Quadrat).
Raute

Um Rauten mit einer Seitenlänge von 100 Metern zu generieren, geben Sie als Wert für den Parameter Größe 10.000 Quadratmeter an (100 zum Quadrat).
Dreieck

Um Dreiecke mit einer Seitenlänge von 100 Metern zu generieren, geben Sie als Wert für den Parameter Größe 4330,127018922193 Quadratmeter an (100 zum Quadrat multipliziert mit der Quadratwurzel von 3 geteilt durch 4).
Bei der Option H3-Hexagon des Parameterwertes Shape-Type wird der Parameter Größe ignoriert. Die Fläche des Hexagons basiert auf dem Wert des Parameters H3-Auflösung.
Parameter
arcpy.management.GenerateTessellation(Output_Feature_Class, Extent, {Shape_Type}, {Size}, {Spatial_Reference}, {H3_Resolution})| Name | Erläuterung | Datentyp |
Output_Feature_Class | Der Pfad und der Name der Ausgabe-Feature-Class mit dem Mosaik. | Feature Class |
Extent | Die Ausdehnung, die das Mosaik abdeckt. Hierbei kann es sich um den aktuell sichtbaren Bereich, die Ausdehnung eines Datasets oder manuell eingegebene Werte handeln.
| Extent |
Shape_Type (optional) | Gibt die zu generierende Form an.
| String |
Size (optional) | Die Fläche der einzelnen Formen, aus denen das Mosaik besteht. | Areal Unit |
Spatial_Reference (optional) | Der Raumbezug, in den das Ausgabe-Dataset projiziert wird. Wenn kein Raumbezug angegeben ist, wird die Ausgabe in den Raumbezug der Eingabe-Ausdehnung projiziert. Wenn auch dort kein Raumbezug angegeben ist, wird die Ausgabe in GCS_WGS_1984 projiziert. | Spatial Reference |
H3_Resolution (optional) | Gibt die H3-Auflösung der Hexagons an. Mit jedem höheren Auflösungswert wird die Fläche der Polygone um ein Siebtel vergrößert.
Dieser Parameter wird aktiviert, wenn der Parameter Shape_Type auf H3_HEXAGON gesetzt ist. | Long |
Codebeispiel
Das folgende Skript für das Python-Fenster veranschaulicht, wie die Funktion GenerateTessellation im unmittelbaren Modus verwendet wird.
import arcpy
tessellation_extent = arcpy.Extent(0.0, 0.0, 10.0, 10.0)
spatial_ref = arcpy.SpatialReference(4326)
arcpy.management.GenerateTessellation(r"C:\data\project.gdb\hex_tessellation",
tessellation_extent, "HEXAGON",
"100 SquareMiles", spatial_ref)Das folgende Skript für das Python-Fenster veranschaulicht, wie Sie die Funktion GenerateTessellation für die Erstellung von H3-Hexagons verwenden.
# Import modules
import arcpy
# Create some variables
out_gdb = r"C:\temp\project.gdb\h3_hexagon"
extent = arcpy.Extent(0.0, 0.0, 10.0, 10.0)
sr = arcpy.SpatialReference(4326)
# Generate H3 hexagons
arcpy.management.GenerateTessellation(out_gdb, Extent=extent, Shape_Type="H3_HEXAGON",
H3_Resolution=5, Spatial_Reference=sr)Das folgende eigenständige Python-Skript veranschaulicht, wie eine Ausdehnung programmgesteuert aus einer Feature-Class extrahiert und die Ausdehnung verwendet wird, um die Parameter der Funktion GenerateTessellation zu füllen.
# Name: GenerateDynamicTessellation.py
# Purpose: Generate a grid of squares over the envelope of a provided feature
# class.
# Import modules
import arcpy
# Set paths of features
my_feature = r"C:\data\project.gdb\myfeature"
output_feature = r"C:\data\project.gdb\sqtessellation"
# Describe the input feature and extract the extent
description = arcpy.Describe(my_feature)
extent = description.extent
# Find the width, height, and linear unit used by the input feature class' extent
# Divide the width and height value by three.
# Multiply the divided values together and specify an area unit from the linear
# unit.
# Should result in a 4x4 grid covering the extent. (Not 3x3 since the squares
# hang over the extent.)
w = extent.width
h = extent.height
u = extent.spatialReference.linearUnitName
area = "{size} Square{unit}s".format(size=w/3 * h/3, unit=u)
# Use the extent's spatial reference to project the output
spatial_ref = extent.spatialReference
arcpy.management.GenerateTessellation(output_feature, extent, "SQUARE", area,
spatial_ref)
: Die Ausdehnung basiert auf der aktiven Karte oder Szene.
: Die Ausdehnung basiert auf einem Rechteck, das auf der Karte oder Szene aufgezogen wurde.
Die Ausdehnung basiert auf einem aktiven Karten-Layer. Wählen Sie einen verfügbaren Layer aus, oder verwenden Sie die Option
: Die Ausdehnung aller Features.
: Die Ausdehnung der ausgewählten Features.
: Die Ausdehnung sichtbarer Features.
: Die Ausdehnung basiert auf einem Dataset.
: Die Ausdehnung kann in die und aus der Zwischenablage kopiert werden.
: Kopiert die Ausdehnung und das Koordinatensystem in die Zwischenablage.
Die Ausdehnung wird auf den Standardwert zurückgesetzt.