Mit dem Werkzeug Oberflächenparameter werden Parameter einer Raster-Oberfläche ermittelt, z. B. Ausrichtung, Neigung und Krümmung.
Ausrichtung
Mit dem Oberflächenparameter Ausrichtung wird die Neigungsrichtung des Gefälles bestimmt. Die Werte der einzelnen Zellen im Ausgabe-Raster geben die Kompassrichtung an, der die Oberfläche an dieser Position zugewandt ist. Sie wird im Uhrzeigersinn in Grad von 0 (genau Norden) bis 360 (wieder genau Norden) im Vollkreis gemessen. Flache Bereiche ohne Neigungsrichtung erhalten den Wert -1.

Die folgenden Abbildungen zeigen ein Eingabe-Höhen-Dataset und das Ausgabe-Ausrichtungs-Raster.

Anwendung der Ausrichtung
Mit dem Oberflächenparametertyp Ausrichtung können Sie folgende Aktionen ausführen:
- Ermitteln aller nach Norden weisenden Neigungen eines Berges bei der Suche nach den besten Hängen für Skipisten
- Berechnen der Sonnenausleuchtung einzelner Orte in einer Region im Rahmen einer Studie zur Bestimmung der Artenvielfalt an den verschiedenen Orten
- Ermitteln aller Südhänge in einer gebirgigen Region, um die Orte ermitteln zu können, an denen Schnee zuerst schmilzt, und somit im Rahmen einer Studie die Wohngebiete zu identifizieren, in denen abfließendes Wasser zuerst durchkommt
Berechnungen der geodätischen Ausrichtung
Die geodätische Ausrichtung an einer Position ist die Winkelrichtung der Neigungsoberfläche in Bezug auf Norden, wie auf einer Ebene gemessen, die tangential zur Ellipsoidoberfläche (die blaue Ebene in der folgenden Abbildung) verläuft.

Um die Ausrichtung an den einzelnen Positionen zu berechnen, wird eine quadratische oder biquadratische Oberfläche an die benachbarten Zellen per LSM (Least Squares Method) angepasst. Eine Oberflächennormale an der Zellenposition wird über diese Oberfläche berechnet. An derselben Position wird ebenfalls eine Ellipsoidnormale rechtwinklig zur Tangentenebene der Ellipsoidoberfläche berechnet.
Da die Tangentenebene der Ellipsoidoberfläche als Bezugsebene betrachtet wird, wird die Oberflächennormale auf die Ebene projiziert. Letztlich wird die geodätische Ausrichtung durch Messen des Winkels α im Uhrzeigersinn zwischen Norden und der Projektion der Oberflächennormale berechnet (siehe obige Abbildung).
Neigung
Der Oberflächenparameter Neigung gibt die Steilheit an jeder Zelle einer Raster-Oberfläche an. Je niedriger der Neigungswert, desto flacher das Gelände. Je höher der Neigungswert, desto steiler das Gelände.
Das Ausgabe-Neigungs-Raster kann in Grad oder Prozent (prozentuale Steigung) berechnet werden. Die prozentuale Steigung ist einfacher zu verstehen, wenn Sie diese als Steigung, geteilt durch die Entfernung, multipliziert mit 100, betrachten. Siehe Dreieck B unten. Bei einem Winkel von 45 Grad entspricht die Steigung der Entfernung, und die prozentuale Steigung beträgt 100 Prozent. Wenn die Neigung sich der Vertikalen (90 Grad) annähert, wie im Falle von Dreieck C, geht die prozentuale Neigung ins Unendliche.

Wie in den folgenden Abbildungen dargestellt, wird "Neigung" am häufigsten auf Höhen-Datasets angewendet. Steilere Neigungen sind im Ausgabe-Neigungs-Raster in einem dunkleren Braun schattiert.

Das Werkzeug kann auch zusammen mit anderen Typen kontinuierlicher Daten, wie z. B. Bevölkerungsdaten, verwendet werden, um einschneidende Wertänderungen zu ermitteln.
Berechnungen der geodätischen Neigung
Die geodätische Neigung ist der Winkel zwischen der topografischen und der Ellipsoid-Oberfläche. Jede Oberfläche parallel zur Ellipsoid-Oberfläche hat eine Neigung von 0. Um die Neigung an den einzelnen Positionen zu berechnen, wird eine quadratische oder biquadratische Oberfläche an die benachbarten Zellen per LSM (Least Squares Method) angepasst. Eine Oberflächennormale an der Zellenposition wird über diese Oberfläche berechnet. An derselben Position wird ebenfalls eine Ellipsoidnormale rechtwinklig zur Tangentenebene der Ellipsoidoberfläche berechnet. Die Neigung in Grad wird aus dem Winkel zwischen der Ellipsoidnormalen und der Normalen der topografischen Oberfläche berechnet. Dieser Winkel entspricht dem Winkel zwischen der topografischen und der Ellipsoidoberfläche.
Überblick über die Oberflächenkrümmung
"Krümmung" ist eine Sammlung von Oberflächenparametertypen zur Beschreibung der Form einer Oberfläche meist entlang einer Linie auf einer Oberfläche, die durch den Schnitt einer Ebene durch die Oberfläche entsteht. Konzeptionell wird mit der geometrischen Krümmung der am besten passende Kreis (oskulierende Kreis) gesucht, um die Form der Kurve an jedem beliebigen Punkt anzunähern. Die Krümmung entspricht dem Kehrwert des Radius dieses Kreises (1/r). Eine geradere Linie passt am besten zu einem größeren Kreis, was eine kleinere Krümmung ergibt, und eine enger geschwungene Linie passt am besten zu einem kleineren Kreis, was eine größere Krümmung ergibt (Crane, 2018).

Profilkrümmung (Normalneigungslinie)
Mit dem Oberflächenparameter Profilkrümmung (Normalneigungslinie) wird die geometrische Normalkrümmung entlang der Neigungslinie gemessen. Der Parameter wird mitunter als Profilkrümmung bezeichnet und kann in Form eines vertikalen (Profil-)Querschnitts durch die Oberfläche visualisiert werden. Wie in der folgenden Abbildung dargestellt, schneidet die vertikale Ebene die Oberfläche entlang der orangefarbenen Linie und würde, wenn sie abgeschnitten würde, als Querschnittsprofile der Oberfläche dargestellt werden.

Diese Ebene wird durch zwei Vektoren definiert, wobei der gelbe Pfeil die Gradientenrichtung oder den Pfeil der Neigungslinie und der rote Pfeil die Oberflächennormale angibt. Die orangefarbene Ebene und die entsprechende orangefarbene Schnittlinie mit der Oberfläche werden durch die Kombination dieser roten und gelben Vektoren definiert. Die Profilkrümmung wird entlang der orangefarbenen Linie (Normalneigungslinie) in der orangefarbenen Ebene berechnet.
Hier wird der Begriff "Normalneigungslinie" (Minár et al., 2020) verwendet, um Doppeldeutigkeit und Verwirrung mit früherer Terminologie zu vermeiden.
Diese Krümmung wird i. d. R. angewendet, um die Fließbeschleunigung oder -verlangsamung auf der Oberfläche aufgrund der Erdanziehungskraft zu beschreiben. Bei höherer Geschwindigkeit kann Wasser größere Mengen an Material mitnehmen und bewegen. Bereiche mit Beschleunigung werden zu Bereichen mit Erosion und Bereiche mit Verlangsamung zu Bereichen der Ablagerungen.
In der folgenden Abbildung sind Flächen mit einer Krümmung mit stark konvexem Profil (Normalneigungslinie) um den Kegelrücken in Violett dargestellt. Flächen mit einer Krümmung mit stark konkavem Profil (Normalneigungslinie) um die Kegelbasis sind orangefarben dargestellt. Flächen mit kleinen Krümmungswerten sind transparent dargestellt.

Die Ergebnisse dieser Krümmung unterscheiden sich von der Profilkrümmungsausgabe des vorherigen Werkzeugs Krümmung. Eine Erläuterung der Unterschiede zwischen "Profilkrümmung" und "Profilkrümmung (Normalneigungslinie)" finden Sie weiter unten.
Die Formel zur Berechnung von "Profilkrümmung (Normalneigungslinie)" lautet wie folgt:

- Wobei gilt:
KP = Profilkrümmung (Normalneigungslinie)
z = f(x,y)
Tangentialkrümmung (Normalkontur)
Mit dem Oberflächenparameter Tangentialkrümmung (Normalkontur) wird die geometrische Normalkrümmung senkrecht zur Neigungslinie, tangential zur Konturlinie gemessen. Dieser Parameter wird als "Tangentialkrümmung" bezeichnet, da mit ihm die Krümmung tangential zur Konturlinie gemessen wird. Dies wird als Normalkontur (Minár et al., 2020) beschrieben, da die violette Schneideebene, die die violette Linie erzeugt, entlang der die Krümmung berechnet wird, durch den blauen Konturvektor und den roten Oberflächennormalenvektor definiert wird.

Der Oberflächenparameter "Tangentialkrümmung (Normalkontur)" wird i. d. R. angewendet, um die topografische Fließkonvergenz oder -divergenz auf der Oberfläche zu beschreiben.
In der folgenden Abbildung sind Flächen mit einer Krümmung mit stark konvexer Tangente (Normalkontur) um den Kegelrücken und um den dem Betrachter zugewandten Rücken in Blau dargestellt. Dies sind Flächen mit divergierendem Fluss. Flächen mit einer Krümmung mit stark konkaver Tangente (Normalkontur) innerhalb des Kegels zeigen einen konvergierenden Fluss in Rot. Flächen mit kleinen Krümmungswerten sind transparent dargestellt.

Die Formel zur Berechnung von "Tangetialkrümmung (Normalkontur)" lautet wie folgt:

- Wobei gilt:
KT = Tangetialkrümmung (Normalkontur)
z = f(x,y)
Plankrümmung (projizierte Kontur)
Mit dem Oberflächenparameter Plankrümmung (projizierte Kontur) wird die Krümmung entlang Konturlinien gemessen. Sie wird gelegentlich auch als Konturkrümmung oder Horizontalkrümmung bezeichnet. Die projizierte Konturkrümmung wird entlang der Konturlinie in Blau an der Stelle gemessen, an der die horizontale Ebene die Oberfläche schneidet.

Die Formel zur Berechnung von "Plankrümmung (projizierte Kontur)" lautet wie folgt:

- Wobei gilt:
KPC = Plankrümmung (projizierte Kontur)
z = f(x,y)
In der folgenden Abbildung ist der Unterschied zwischen der entlang der violetten Linie gemessenen Tangentialkrümmung (Normalkontur) und dem entlang der blauen Konturlinie gemessenen Plan (projizierte Konturkrümmung) dargestellt.

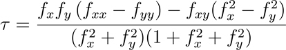
Geodätische Torsion der Kontur
Mit dem Oberflächenparameter Geodätische Torsion der Kontur wird die Änderungsrate des Neigungswinkels entlang Konturlinien gemessen.
Die Formel zur Berechnung der geodätischen Torsion der Kontur lautet wie folgt:

- Wobei gilt:
τ = Geodätische Torsion der Kontur
z = f(x,y)
Mittlere Krümmung
Mit dem Oberflächenparameter Mittlere Krümmung wird die Gesamtkrümmung der Oberfläche gemessen. Sie wird als Mittelwert der minimalen und maximalen Krümmung berechnet. Der Parameter ist das mathematische Äquivalent zum Mittelwert aus "Profilkrümmung (Normalneigungslinie)" und "Tangetialkrümmung (Normalkontur)". In der folgenden Abbildung sind die Schneideebenen für "Profil (Normalneigungslinie)" (orangefarben) und "Tangential (Normalkontur)" (violett) dargestellt.

Mit "Profilkrümmung (Normalneigungslinie)" und "Tangentialkrümmung (Normalkontur)" wird jeweils die Konvexität bzw. Konkavität in eine bestimmte Richtung gemessen. Dagegen wird mit "Mittlere Krümmung" die intrinsische Konvexität oder Konkavität der Oberfläche unabhängig von der Richtung oder den Gravitationskräften beschrieben. Ihr Vorzeichen (positiv oder negativ) ist außer bei Extremwerten kein definitiver Indikator für Konvexität oder Konkavität, da eine Oberfläche in eine Richtung konkav und gleichzeitig in eine andere Richtung konvex sein kann. Hohe positive Werte geben Bereiche mit maximaler Abtragung und hohe negative Werte Bereiche mit maximaler Akkumulation an (Minár et al., 2020).
Die Formel zur Berechnung der mittleren Krümmung lautet wie folgt:

- Wobei gilt:
KM = mittlere Krümmung
z = f(x,y)
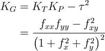
Gauß'sche Krümmung
Mit dem Oberflächenparameter Gauß'sche Krümmung wird die allgemeine Krümmung einer Oberfläche gemessen. Sie wird als Produkt der minimalen und maximalen Krümmung berechnet und kann negative und positive Werte annehmen. Positive Werte weisen auf eine konvexe Oberfläche in dieser Zelle und negative Werte auf eine konkave Oberfläche in dieser Zelle hin. Der Wert 0 gibt an, dass die Oberfläche eben ist.
Die Formel zur Berechnung der Gauß'schen Krümmung lautet wie folgt:

- Wobei gilt:
KG = Gauß'sche Krümmung
z = f(x,y)
Casorati-Krümmung
Mit dem Oberflächenparameter Casorati-Krümmung wird die allgemeine Krümmung der Oberfläche gemessen. Sie kann Null oder eine beliebige positive Zahl sein. Hohe positive Werte weisen auf Bereiche mit scharfen Biegungen in mehrere Richtungen hin.
Die Formel zur Berechnung der Casorati-Krümmung lautet wie folgt:

- Wobei gilt:
KC = Casorati-Krümmung
z = f(x,y)
Grundlegende und kombinatorische Krümmungstypen
Die Tangentialkrümmung (Normalkontur), Profilkrümmung (Normalneigungslinie) und geodätische Torsion der Kontur werden als grundlegende Krümmungstypen angesehen, da andere Krümmungen als eine Kombination dieser Typen ausgedrückt werden können. In Anlehnung an die Terminologie von Minár et al. (2020) werden sie als "grundlegendes Trio" bezeichnet.
Neben den oben genannten Ausdrücken für die mittlere Krümmung, die Gauß'sche Krümmung und die Casorati-Krümmung können diese Krümmungen auch als eine Kombination des grundlegenden Trios berechnet werden.
Die Formel zur Berechnung der mittleren Krümmung lautet wie folgt:

- Wobei gilt:
KM = mittlere Krümmung
KT = Tangetialkrümmung (Normalkontur)
KP = Profilkrümmung (Normalneigungslinie)
z = f(x,y)
Die Formel zur Berechnung der Gauß'schen Krümmung lautet wie folgt:

- Wobei gilt:
KG = Gauß'sche Krümmung
KT = Tangetialkrümmung (Normalkontur)
KP = Profilkrümmung (Normalneigungslinie)
τ = Geodätische Torsion der Kontur
z = f(x,y)
Die Formel zur Berechnung der Casorati-Krümmung lautet wie folgt:

- Wobei gilt:
KC = Casorati-Krümmung
KM = mittlere Krümmung
KG = Gauß'sche Krümmung
z = f(x,y)
Vergleich mit dem Algorithmus des alten Werkzeugs "Krümmung"
Das Werkzeug Oberflächenparameter verwendet einen anderen Krümmungsalgorithmus als das Werkzeug Krümmung sowie geodätische Mathematik in seinen Berechnungen. Daher sollte kein direkter Vergleich zwischen den Ausgaben dieser beiden Werkzeuge angestellt werden. Die Krümmungstypen "Profilkrümmung (Normalneigungslinie)" und "Tangetialkrümmung (Normalkontur)" des Werkzeugs Oberflächenparameter sind echte geometrische Krümmungen (Minár et al., 2020). Die "Mittlere Krümmung" des Werkzeugs Oberflächenparameter ist der Mittelwert der minimalen und maximalen Krümmung an dem betreffenden Punkt. Die Typen "Profil" und "Horizontal" des Werkzeugs Krümmung sind direktionale Ableitungen und messen nicht wirklich die geometrische Krümmung der Oberfläche an einer Position (Zevenbergen und Thorne 1987). Das Vorzeichen (positiv oder negativ) für "Profilkrümmung (Normalneigungslinie)" im Werkzeug Oberflächenparameter ist entgegengesetzt zu der Profilkrümmung des Werkzeugs Krümmung. Das Werkzeug Oberflächenparameter führt Berechnungen im geodätischen Raum durch, das Werkzeug Krümmung verwendet planare Koordinaten und Mathematik. Das Werkzeug Oberflächenparameter kann für quadratische oder biquadratische Oberflächen verwendet werden, das Werkzeug Krümmung unterstützt nur biquadratische.
Nachbarschaftsentfernung
Bei dem Wert Nachbarschaftsentfernung handelt es sich um die Kartenentfernung vom Mittelpunkt der aktuellen Verarbeitungszelle bis zum Mittelpunkt eines orthogonalen Nachbarn. Mit einer geringen Nachbarschaftsentfernung wird eher die lokale Variabilität in der Landschaft erfasst, wodurch sich Merkmale kleinerer Landschafts-Features ergeben. Bei Höhendaten in einer höheren Auflösung ist eine größere Nachbarschaftsentfernung möglicherweise besser geeignet, weil die Daten Rauschen aufweisen, wodurch die Terrain-Prozesse von Interesse nicht gut wiedergegeben werden, oder weil das Terrain von Interesse bei größeren Entfernungen besser erkennbar ist.
Im folgenden Beispiel wurde ein digitales Oberflächenmodell (DSM, Digital Surface Model) mit einer Auflösung von 5 Metern verwendet, das im Ergebnis der Profilkrümmung (Normalneigungslinie) ein deutliches Rauschen und zahlreiche Streifenartefakte aufweist. Im ersten Bild wurde das Standardfenster der Größe 3 x 3 bzw. eine Nachbarschaftsentfernung von 5 Metern, im zweiten Bild ein Zellenfenster der Größe 9 x 9 bzw. eine Nachbarschaftsentfernung von 20 Metern und im dritten Bild ein Zellenfenster der Größe 15 x 15 bzw. eine Nachbarschaftsentfernung von 35 Metern verwendet. In diesem Beispiel werden mit zunehmender Nachbarschaftsentfernung die wichtigsten oder primären Features der Landschaft deutlicher und das Rauschen und die Streifenartefakte weniger sichtbar. Eine größere Nachbarschaftsentfernung führt zwar immer zu weniger Rauschen. Welche Entfernung am besten geeignet ist, hängt jedoch von der Zellengröße der Daten und der Größe der Terrain-Features ab, die für die Anwendung relevant sind.

Die geringste Nachbarschaftsentfernung entspricht der Zellengröße des Eingabe-Rasters. Die größte Nachbarschaftsentfernung entspricht dem 7-Fachen der Zellengröße, wodurch ein Zellenfenster der Größe 15 x 15 entsteht. Bei jeder angegebenen Entfernung, die größer als das 7-Fache der Zellengröße ist, entsteht ein Zellenfenster der Größe 15 x 15.

Wenn eine Nachbarschaftsentfernung angegeben wird, die nicht zu einem ungeraden Intervall der Zellengröße führt, wird sie auf das nächste Intervall der Zellengröße aufgerundet. Wenn in der Abbildung weiter oben eine Nachbarschaftsentfernung von 25 Metern angegeben wurde, wird sie auf das nächste Intervall der Zellengröße, also auf 30 Meter (das 3-Fache der Zellengröße) aufgerundet, wodurch ein Zellenfenster der Größe 7 x 7 entsteht.
Wenn die Höhendaten eine wesentlich feinere räumliche Auflösung aufweisen, als es für die Analyse der Terrains von Interesse erforderlich ist, besteht eine Alternative zur Nachbarschaftsfensteroption darin, die Daten zu einer größeren, für die Anwendung besser geeigneten Zellengröße mittels Resampling neu zu berechnen oder zu aggregieren.
Bei der Berechnung von Oberflächenparametern wird die Zellengröße und die Nachbarschaftsentfernung berücksichtigt. Wilson (2018) und Minár et al. (2020) stellen effektive, aktuelle Zusammenfassungen der zahlreichen Untersuchungen zu diesem Thema bereit.
Adaptive Nachbarschaft
Wenn diese Option aktiviert ist, wird durch den Parameter Adaptive Nachbarschaft verwenden die Nachbarschaftsentfernung (Fenstergröße oder Fläche) geändert, die zur Berechnung des Oberflächenparameters verwendet wird, um die relevante Variation in der Landschaft besser erfassen zu können. Das Werkzeug bestimmt die geeignete Fenstergröße automatisch, indem die lokale Abweichung von der mittleren Höhe (DEV) (Wilson und Gallant, 2000) basierend auf den Werten aller Zellen innerhalb der Nachbarschaft berechnet wird. Es versucht, die größtmögliche Fenstergröße bei gleichzeitiger Minimierung der Oberflächenvariabilität zu verwenden (James et al., 2014). Die größte verwendete Fenstergröße wird im Parameter Nachbarschaftsentfernung angegeben.
Wenn Sie den Oberflächenparameter mit einer festgelegten Nachbarschaft berechnen, werden alle Zellenwerte innerhalb der Nachbarschaft verwendet. Erfolgt die Berechnung des Oberflächenparameters mit einer adaptiven Nachbarschaft, werden nur neun Zellen (die äußeren orthogonalen und diagonalen Zellen und die mittlere Verarbeitungszelle) der Nachbarschaft verwendet.

Eine adaptive Nachbarschaft ist besonders hilfreich, wenn eine Landschaft mit ganz unterschiedlich großen Terrain-Features, z. B. große sanfte Hügel mit kleinen Schluchten und Wasserläufen, über ein DEM in einer höheren Auflösung analysiert wird. In diesem Fall können eine geringe Nachbarschaftsentfernung wie 1 Meter für die Schluchten und Wasserläufe sowie große Nachbarschaftsentfernungen von 10 bis 15 Metern für die Hügel verwendet werden.
In der folgenden Abbildung ist für den Bach und die Klippenkante eine kleinere Nachbarschaft, für den Übergang vom Hügel zur Ebene eine größere Nachbarschaft und für die nahezu ebene homogene Hochebene eine noch größere Nachbarschaft geeignet.

Kanteneffekt der Nachbarschaftsentfernung
Den Zellen um den äußeren Rand der Ausgabe wird der Wert "NoData" zugewiesen, wenn nicht genügend Informationen für die Berechnung zur Verfügung stehen.
Wenn die Option "Adaptive Nachbarschaft" verwendet wird, wird die Ausdehnung des Ausgabe-Rasters um den äußeren Rand um eine Zelle verkleinert.
Wenn eine feste Nachbarschaftsentfernung verwendet wird, die größer als die Eingabe-Zellengröße ist, wird die Ausdehnung des Ausgabe-Rasters entsprechend der verwendeten Nachbarschaftsentfernung verkleinert. Der Betrag der Verkleinerung kann wie folgt berechnet werden: (Fensterbreite in Pixel – 1)/2
Wenn die Nachbarschaftsentfernung beispielsweise ein Fenster mit 7 x 7 Zellen ergibt, wird das Ausgabe-Raster um den äußeren Rand um drei Zellen verkleinert.
Quadratisch und biquadratisch
Es gibt zwei Arten von lokalen Oberflächen, die an das Nachbarschaftsfenster angepasst werden können: quadratische Oberflächen und biquadratische Oberflächen. Standardmäßig ist die quadratische Oberfläche eingestellt. Diese Einstellung wird für die meisten Daten und Anwendungen empfohlen.
Bei der quadratischen Oberfläche handelt es sich um eine "Least squares"-Anpassung der Punkte, bei der nicht alle Punkte exakt durchlaufen werden. Dadurch, dass nicht alle Punkte exakt durchlaufen werden, hat die Verwendung von "Quadratische Oberfläche" den Effekt, dass die Auswirkungen verrauschter Oberflächendaten, z. B. einer LIDAR-Oberfläche mit hoher Auflösung, minimiert werden. Dadurch entsteht für alle Oberflächenparameter ein repräsentativeres Ergebnis. Dies ist besonders wichtig, wenn die Krümmung berechnet wird.
Die quadratische Oberfläche sollte verwendet werden, wenn eine Nachbarschaftsgröße angegeben wird, die die Zellengröße überschreitet, und wenn die Option "Adaptive Nachbarschaft" verwendet wird.
Mit "Biquadratische Oberfläche" wird eine genaue Übereinstimmung mit den Daten aus den benachbarten Zellen erzielt. Diese Option eignet sich für eine äußerst genaue Eingabeoberfläche ohne Zufallsrauschen. Wenn die Nachbarschaftsentfernung die Eingabe-Raster-Zellengröße überschreitet, gehen die Genauigkeitsvorteile des Oberflächentyps "Biquadratisch" verloren. Daher darf der Standardwert der Nachbarschaftsentfernung (gleich der Zellengröße) nicht geändert werden.
Transformation geodätischer Koordinaten
Mit dem Werkzeug Oberflächenparameter werden Berechnungen in einem geozentrischen 3D-Koordinatensystem durchgeführt, das auch als ECEF-Koordinatensystem (Earth Centered, Earth Fixed) bezeichnet wird. Dabei wird die Form der Erde als Ellipsoid betrachtet. Das Ergebnis der Berechnung hat keine Auswirkungen auf die Projektion des Datasets. Es werden die Z-Einheiten des Eingabe-Rasters verwendet, wenn sie im Raumbezug definiert sind. Wenn keine Z-Einheiten im Raumbezug der Ausgabe definiert sind, müssen diese mit dem Z-Einheitenparameter definiert werden.
Das ECEF-Koordinatensystem ist ein nach rechts ausgerichtetes kartesisches 3D-Koordinatensystem mit dem Erdmittelpunkt als Ursprung, in dem jede Position durch X-, Y- und Z-Koordinaten dargestellt wird. In der nachfolgenden Abbildung sehen Sie ein Beispiel für eine Zielposition T, die durch geozentrische Koordinaten ausgedrückt wird.

Das Oberflächen-Raster wird aus dem Eingabe-Koordinatensystem in ein geozentrisches 3D-Koordinatensystem umgewandelt.
Die geodätische Berechnung verwendet eine X-, Y-, Z-Koordinate, die basierend auf ihrer geodätischen Koordinaten (Breitengrad φ, Längengrad λ, Höhe h) berechnet wird. Wenn das Koordinatensystem des Eingabe-Oberflächen-Rasters ein projiziertes Koordinatensystem (PCS) ist, wird das Raster zunächst erneut in ein geographisches Koordinatensystem (GCS) projiziert, wo jede Position eine geodätische Koordinate aufweist. Anschließend wird es in das ECEF-Koordinatensystem transformiert. Die Höhe (Z-Wert) ist die Ellipsoidhöhe, die auf die Ellipsoidoberfläche referenziert wird. Weitere Informationen können der Grafik in der Abbildung unten entnommen werden.

Verwenden Sie die folgenden Formeln, um geodätische Koordinaten (Breitengrad φ, Längengrad λ, Höhe h) in ECEF-Koordinaten zu transformieren:
X = (N(φ) + h) * cos(φ) * cos(λ)Y = (N(φ) + h) * cos(φ) * sin(λ)Z = (b2 / a2 * N(φ) + h) * sin(φ)- Wobei gilt:
N(φ) = a2 / √( a2 * cos(φ)2 + b2 * sin(φ)2)φ = Breitengrad
λ = Längengrad
h = Ellipsoidhöhe
a = Hauptachse des Ellipsoids
b = Nebenachse des Ellipsoids
In den oben aufgeführten Formeln ist die Ellipsoidhöhe h in Meter angegeben. Wenn die Z-Einheit des Eingabe-Raster in einer anderen Einheit vorliegt, wird sie intern in Meter transformiert.
Weiterführende Informationen
Ausführlichere Informationen zu den Methoden der Oberflächenanalyse und deren Anwendungen finden Sie in den folgenden Quellen. Darüber hinaus bieten Hengl und Reuter (2008) und Wilson (2018) eine umfassende Katalogisierung dieser und vieler weiterer Methoden und Anwendungen der Terrainanalyse. Minár et al. (2020) enthält eine umfassende Zusammenfassung und einen Vergleich früherer Arbeiten zur Landoberflächenkrümmung mit Erläuterungen und Definitionen zu vielen verschiedenen Krümmungstypen.
Referenzen
B. Hofmann-Wellenhof, H. Lichtenegger and J. Collins, 2001. GPS – theory and practice Abschnitt 10.2.1. S. 282.
Burrough, P. A. und McDonell, R. A., 1998. Principles of Geographical Information Systems (Oxford University Press, New York), 190 pp.
Crane K., 2018. Discrete Differential Geometry: An Applied Introduction. Notices of the AMS, Communication. https://www.cs.cmu.edu/~kmcrane/Projects/DDG/paper.pdf
David Eberly 1999. Least Squares Fitting of Data (Geometric Tools, LLC), S. 3.
E.J.Krakiwsky, and D.E.Wells, 1971. Coordinate Systems In Geodesy (GEODESY AND GEOMATICS ENGINEERING, UNB), LECTURE NOTES, No16, 1971, S. 18–38
Hengl T. und Reuter H., 2008. Geomorphometry Concepts, Software, Applications. Elsevier.
James D.E., M.D. Tomer, S.A. Porter. 2014 Trans-scalar landform segmentation from high-resolution digital elevation models. Poster präsentiert bei der jährlichen ESRI User Conference, Juli 2014, San Diego, CA, USA.
Lancaster, P. und Šalkauskas, K. Curve and Surface Fitting: An Introduction. London: Academic Press, 1986.
Marcin Ligas, and Piotr Banasik, 2011. Conversion between Cartesian and geodetic coordinates on a rotational ellipsoid by solving a system of nonlinear equations (GEODESY AND CARTOGRAPHY), Bd. 60, Nr. 2, 2011, S. 145-159
Minár, J., Evans, I. S., und Jenčo, M. (2020). A comprehensive system of definitions of land surface (topographic) curvatures, with implications for their application in geoscience modelling and prediction. Earth-Science Reviews, 103414. https://doi.org/10.1016/j.earscirev.2020.103414
Wilson J.P und Gallant, J.C. (Hrsg.) 2000. Terrain Analysis: Principles and Applications. John Wiley & Sons, Inc.
Wilson J. P., 2018. Environmental Application of Digital Terrain Modeling. John-Blackwell, Inc.
Zevenbergen, L. W. und C. R. Thorne. 1987 Quantitative Analysis of Land Surface Topography. Earth Surface Processes and Landforms 12: 47–56.